-
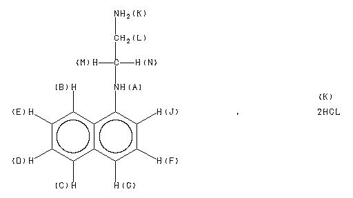
MS-NW-0643 N-(1-naphthyl)ethylenediamine dihydrochloride C12H14N2 2HCl (Mass of molecular ion: 186)
Source Temperature: 200 °C Sample Temperature: 140 °C Direct, 75 eV
15.0 1.2 17.0 1.7 18.0 7.3 28.0 5.6 29.0 2.3 30.0 8.3 31.0 3.9 32.0 2.7 35.0 4.1 36.0 28.5 37.0 1.3 38.0 8.9 39.0 1.2 50.0 1.2 51.0 2.2 63.0 2.3 74.0 1.4 75.0 2.3 76.0 1.3 77.0 4.9 89.0 1.2 101.0 2.5 102.0 1.0 115.0 5.3 116.0 1.4 126.0 4.2 127.0 14.1 128.0 18.3 129.0 32.0 130.0 4.0 141.0 1.0 143.0 2.7 144.0 3.2 154.0 12.3 155.0 9.9 156.0 100.0 157.0 20.3 158.0 1.7 167.0 1.8 168.0 1.3 186.0 48.6 187.0 6.7
400 MHz in DMSO-d6
-
1H NMR 399.65 MHz C12 H14 N2 0.033 g : 0.5 ml DMSO-d6 N-(1-naphthyl)ethylenediamine dihydrochloride 
Assign. Shift(ppm)
A 8.50 B 8.357 C 7.844 D 7.50 E 7.49 F 7.38 G 7.37 J 6.897 K 6.62 L 3.592 M *1 3.24 N *1 3.22
Hz ppm Int.3396.61 8.499 286 3348.63 8.379 32 3345.09 8.371 220 3341.80 8.362 128 3337.89 8.353 212 3335.57 8.347 234 3331.67 8.337 36 3140.14 7.858 241 3137.70 7.852 246 3134.03 7.842 149 3131.96 7.837 200 3130.62 7.834 290 3127.56 7.826 40 3007.57 7.526 63 3005.86 7.522 104 3000.73 7.509 289 2999.02 7.505 279 2997.56 7.501 316 2994.38 7.493 567 2991.21 7.485 302 2989.50 7.481 253 2987.79 7.477 264 2982.67 7.464 98 2980.96 7.459 67 2959.84 7.407 73 2951.66 7.386 498 2948.97 7.379 399 2946.04 7.372 1000 2941.04 7.360 76 2761.23 6.910 173 2758.06 6.902 190 2755.62 6.896 160 2752.69 6.888 171 2645.02 6.619 284 1442.38 3.610 263 1436.04 3.594 611 1429.69 3.578 314 1304.32 3.264 37 1303.71 3.263 37 1298.46 3.249 146 1296.26 3.244 111 1292.60 3.235 283 1286.62 3.220 279 1280.76 3.205 140 1275.63 3.192 36 1275.02 3.191 36 1274.54 3.190 35
更多供应商




