图谱信息 供应商 相关产品
网站主页CAS数据库列表 1468-95-7更多图谱9-蒽醇(1468-95-7)质谱(MS)

9-蒽醇

产品名称 9-蒽醇

CAS号1468-95-7

分子式C15H12O

分子量208.26

展开


  • Mass

    MS-NW-6182          
    9-anthracenemethanol
    C15H12O             (Mass of molecular ion:    208)
    

       Source Temperature: 250 °C
       Sample Temperature: 190 °C
       Reservoir, 75 eV
    

          18.0       3.7
          39.0       1.0
          50.0       1.1
          51.0       1.0
          62.0       1.0
          63.0       2.6
          74.0       1.7
          75.0       3.2
          76.0       8.3
          76.5       1.2
          87.0       1.7
          88.0       5.8
          88.5       1.2
          89.0       9.0
          89.5       1.6
         126.0       1.3
         139.0       1.1
         150.0       3.6
         151.0       5.7
         152.0       6.5
         153.0       1.0
         174.0       1.2
         175.0       2.3
         176.0      12.8
         177.0       7.8
         178.0     100.0
         179.0      19.5
         180.0       3.6
         191.0       2.0
         192.0       1.4
         208.0       5.1
    

400 MHz in DMSO-d6


  • 1H NMR 399.65 MHz
    C15 H12 O 0.038 g : 0.5 ml DMSO-d6
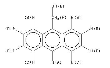
    9-anthracenemethanol
    ChemicalStructure
        Assign.     Shift(ppm)
    A 8.557 B 8.480 C 8.082 D 7.576 E 7.521 F 5.470 G 5.38

         Hz     ppm     Int.
    

       3419.92   8.558    703
       3393.55   8.492    635
       3389.53   8.482     57
       3385.38   8.471    655
       3384.52   8.469    656
       3234.13   8.093    621
       3226.32   8.073    664
       3225.83   8.072    657
       3036.87   7.599    303
       3035.40   7.596    336
       3030.40   7.583    548
       3028.93   7.579    562
       3026.61   7.574    324
       3021.61   7.561    559
       3020.14   7.557    498
       3017.09   7.550     49
       3016.72   7.549     49
       3012.94   7.539    521
       3011.72   7.536    572
       3006.35   7.523    346
       3004.76   7.519    583
       3003.54   7.516    533
       2998.05   7.502    313
       2997.07   7.500    296
       2189.33   5.479    758
       2184.08   5.465   1000
       2154.17   5.391    335
       2149.05   5.378    481
       2143.55   5.364    206
    

in DMSO-d6



KBr disc



nujol mull