-
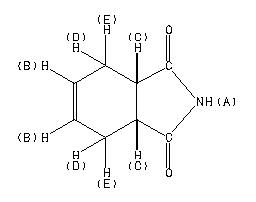
MS2014-05091CW cis-1,2,3,6-tetrahydrophthalimide C8H9NO2 (Mass of molecular ion: 151)
Source Temperature: 245 °C Sample Temperature: 25 °C Direct, 70 eV
17.0 2.2 18.0 9.8 26.0 2.4 27.0 8.1 28.0 1.7 38.0 2.8 39.0 15.7 39.5 1.1 40.0 3.1 41.0 2.9 43.0 1.7 44.0 3.1 45.0 1.9 50.0 5.4 51.0 10.0 52.0 7.3 53.0 6.4 54.0 5.4 55.0 1.0 63.0 2.0 65.0 3.8 66.0 1.8 70.0 2.0 74.0 1.0 77.0 21.2 78.0 16.8 79.0 100.0 80.0 66.2 81.0 4.7 94.0 1.3 96.0 4.5 105.0 3.4 106.0 4.4 107.0 4.7 108.0 4.2 122.0 12.0 123.0 12.9 124.0 2.7 136.0 2.5 150.0 1.7 151.0 72.7 152.0 7.0
400 MHz in DMSO-d6
-
1H NMR 399.65 MHz C8 H9 N O2 0.036 g : 0.5 ml DMSO-d6 cis-1,2,3,6-tetrahydrophthalimide 
Assign. Shift(ppm)
A 11.1 B 5.872 C 3.075 D *1 2.349 E *1 2.124
Hz ppm Int.4439.22 11.108 56 2359.73 5.905 78 2358.45 5.902 63 2357.35 5.899 67 2350.03 5.881 952 2347.10 5.873 1000 2344.16 5.866 929 2336.29 5.846 77 2334.27 5.841 81 1240.77 3.105 76 1238.94 3.101 66 1232.89 3.085 759 1231.79 3.083 817 1229.60 3.077 748 1228.86 3.075 740 1226.48 3.069 855 1225.57 3.067 761 1219.52 3.052 79 1217.69 3.047 88 958.14 2.398 31 957.23 2.396 32 950.63 2.379 338 948.80 2.375 376 946.60 2.369 369 944.96 2.365 379 942.94 2.360 218 934.70 2.339 526 933.05 2.335 515 930.85 2.330 523 929.02 2.325 466 922.43 2.309 54 868.94 2.175 39 863.45 2.161 115 859.05 2.150 417 857.77 2.147 380 855.39 2.141 428 854.11 2.138 447 851.91 2.132 392 848.24 2.123 113 847.69 2.122 113 844.58 2.114 314 841.83 2.107 336 840.73 2.104 311 838.17 2.098 271 836.89 2.095 291 832.49 2.084 77
更多供应商







