-
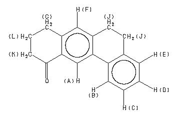
MS-IW-0786 5,8,9,10-tetrahydrobenz(a)anthracen-11(6H)-one C18H16O (Mass of molecular ion: 248)
Source Temperature: 140 °C Sample Temperature: 100 °C Direct, 75 eV
82.5 1.1 94.5 2.1 95.0 1.5 152.0 1.0 165.0 3.1 178.0 2.2 189.0 6.2 190.0 4.5 191.0 14.8 192.0 23.4 193.0 4.0 202.0 2.7 203.0 2.4 204.0 1.6 205.0 3.0 206.0 4.9 207.0 1.0 215.0 1.6 219.0 3.6 220.0 15.2 221.0 2.7 229.0 1.2 230.0 1.2 231.0 1.0 233.0 3.7 247.0 4.9 248.0 100.0 249.0 19.8 250.0 2.0
400 MHz in CDCl3
-
1H NMR 399.65 MHz C18 H16 O 0.038 g : 0.5 ml CDCl3 5,8,9,10-tetrahydrobenz(a)anthracen-11(6H)-one 
Assign. Shift(ppm)
A 8.423 B 7.854 C 7.308 D 7.23 E 7.21 F 7.098 G 2.933 J 2.862 K 2.655 L 2.128
Hz ppm Int.3366.33 8.424 495 3143.19 7.865 170 3135.50 7.846 197 2929.57 7.331 70 2927.37 7.325 86 2922.97 7.314 101 2921.88 7.312 104 2920.78 7.309 132 2919.56 7.306 97 2915.41 7.295 90 2913.09 7.290 110 2897.58 7.251 69 2896.24 7.247 75 2890.01 7.232 220 2888.92 7.229 235 2883.54 7.216 334 2882.45 7.213 418 2877.32 7.200 72 2875.00 7.194 38 2837.16 7.100 356 1178.34 2.949 186 1172.24 2.934 302 1166.26 2.919 205 1159.06 2.901 33 1157.23 2.896 33 1153.32 2.886 57 1149.54 2.877 125 1144.04 2.863 1000 1138.79 2.850 135 1134.89 2.840 58 1131.23 2.831 31 1067.38 2.671 224 1061.40 2.656 292 1054.32 2.639 268 863.40 2.161 78 861.57 2.156 41 856.81 2.144 177 850.71 2.129 248 844.24 2.113 161 840.09 2.103 40 838.01 2.097 66
更多供应商





