-
MS-NW-6390 trans-3,4-dimethoxycinnamic acid C11H12O4 (Mass of molecular ion: 208)
Source Temperature: 140 °C Sample Temperature: 90 °C Direct, 75 eV
15.0 1.9 17.0 2.6 18.0 13.0 28.0 2.0 38.0 1.1 39.0 2.3 41.0 1.0 44.0 1.0 45.0 1.3 50.0 2.8 51.0 6.0 52.0 1.2 53.0 1.4 55.0 2.3 62.0 1.4 63.0 3.2 65.0 2.1 66.0 2.3 69.0 1.5 74.0 1.2 75.0 1.2 76.0 2.1 77.0 8.1 78.0 2.1 79.0 2.3 89.0 3.2 90.0 1.0 91.0 6.7 92.0 1.1 94.0 1.9 95.0 2.2 95.5 1.0 102.0 1.4 103.0 4.2 104.0 2.0 105.0 3.0 106.0 1.0 107.0 1.4 109.0 2.3 117.0 1.6 118.0 1.5 119.0 5.4 120.0 1.1 121.0 1.4 122.0 1.1 123.0 3.4 131.0 1.0 133.0 6.2 134.0 1.4 137.0 3.3 145.0 1.4 147.0 6.5 148.0 1.5 149.0 1.7 150.0 1.1 161.0 3.8 162.0 1.5 163.0 1.9 165.0 2.3 190.0 1.1 191.0 3.5 192.0 1.6 193.0 18.8 194.0 2.5 207.0 1.1 208.0 100.0 209.0 12.9 210.0 1.9
90 MHz in CDCl3
-
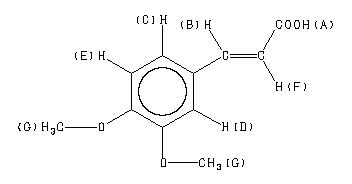
1H NMR 89.56 MHz C11 H12 O4 0.043 g : 0.5 ml CDCl3 trans-3,4-dimethoxycinnamic acid 
Assign. Shift(ppm)
A 9.9 B 7.73 C 7.16 D 7.09 E 6.88 F 6.33 G 3.92 J(B,F)=16.2HZ
Hz ppm Int.701.28 7.831 76 685.47 7.654 96 634.72 7.088 224 619.59 6.919 114 573.71 6.406 95 558.15 6.233 76 557.73 6.228 76 351.28 3.923 1000
更多供应商





