-
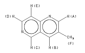
Parameter ppm Hz
D(A) 8.93 D(B) 7.99 D(C) 9.20 D(D) 8.71 D(E) 7.88 D(F) 2.54 J(A,B) 2.1 J(A,C) 0.0 J(A,D) 0.0 J(A,E) 0.0 J(A,F) 0.0 J(B,C) 0.0 J(B,D) 0.0 J(B,E) 0.9 J(B,F) 0.9 J(C,D) 0.0 J(C,E) 0.9 J(C,F) 0.0 J(D,E) 6.0 J(D,F) 0.0 J(E,F) 0.0 PAUDLER,W.W. & KRESS,T.J. J.HETEROCYCL.CHEM. 4, 284 (1967)Spectral Code: 1H NMR : parameter in CDCl3
更多供应商

