产品名称 3-甲基-1,8-萘啶
CAS号14759-22-9
分子式C9H8N2
分子量144.17
InChIInChI=1S/C9H8N2/c1-7-5-8-3-2-4-10-9(8)11-6-7/h2-6H,1H3
InChIKeyQOMQVYYQBYOOMQ-UHFFFAOYSA-N
SmilesN1C2C(=CC=CN=2)C=C(C)C=1
展开 收起
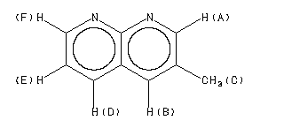
Parameter ppm Hz D(A) 8.95 D(B) 7.88 D(C) 2.48 J(A,B) 2.2 J(A,C) 0.0 J(B,C) 1.0 D(D) 8.10 D(E) 7.42 D(F) 9.05 J(D,E) 8.0 J(D,F) 2.0 J(E,F) 4.1 PAUDLER,W.W. & KRESS,T.J. J.HETEROCYCL.CHEM. 4, 284 (1967)
更多供应商
3-甲基-1,8-萘啶(14759-22-9)核磁图(1HNMR) 相关产品图谱