图谱信息 供应商 相关产品
网站主页CAS数据库列表 1477-50-5更多图谱2-吲哚甲酸(1477-50-5)红外图谱(IR2)

2-吲哚甲酸

产品名称 2-吲哚甲酸

CAS号1477-50-5

分子式C9H7NO2

分子量161.16

展开


  • Mass

    MS-NW-7650          
    2-indolecarboxylic acid
    C9H7NO2             (Mass of molecular ion:    161)
    

       Source Temperature: 180 °C
       Sample Temperature: 140 °C
       Direct, 75 eV
    

          27.0       1.0
          28.0       1.5
          37.0       1.9
          38.0       3.8
          39.0       9.0
          40.0       1.0
          44.0       1.0
          45.0       1.8
          50.0       4.5
          51.0       4.5
          52.0       2.0
          57.5       4.4
          58.0       2.8
          61.0       2.7
          62.0       9.6
          63.0      15.5
          64.0       4.1
          65.0       2.0
          71.5       5.6
          72.0       1.2
          74.0       1.4
          75.0       1.5
          76.0       1.6
          77.0       3.3
          78.0       1.0
          80.5       2.5
          85.0       1.0
          86.0       2.0
          87.0       4.2
          88.0      11.4
          89.0      28.0
          90.0       4.4
         104.0       1.0
         114.0      12.0
         115.0      88.3
         116.0      11.8
         117.0       2.5
         132.0       2.0
         142.0       1.2
         143.0     100.0
         144.0      12.3
         145.0       1.0
         160.0       1.5
         161.0      69.1
         162.0       7.4
    

400 MHz in DMSO-d6

90 MHz in DMSO-d6


  • 1H NMR 399.65 MHz
    C9 H7 N O2 0.037 g : 0.5 ml DMSO-d6
    2-indolecarboxylic acid
    ChemicalStructure
        Assign.     Shift(ppm)
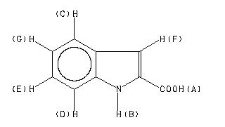
    A 13.0 B 11.8 C 7.669 D 7.480 E 7.261 F 7.139 G 7.081

         Hz     ppm     Int.
    

       5189.53  12.986    290
       4716.22  11.801    516
       3068.72   7.679    659
       3060.81   7.659    710
       2994.35   7.493    642
       2993.71   7.491    608
       2986.23   7.473    782
       2985.38   7.470    737
       2910.16   7.282    412
       2909.09   7.280    401
       2903.11   7.265    558
       2902.04   7.262    710
       2900.76   7.259    385
       2894.78   7.244    443
       2893.71   7.241    402
       2854.39   7.143    964
       2853.54   7.141    979
       2852.26   7.137   1000
       2851.61   7.136    850
       2837.72   7.101    498
       2836.87   7.099    481
       2830.89   7.084    522
       2829.82   7.081    789
       2828.96   7.079    510
       2822.77   7.064    417
       2821.91   7.061    372
    


  • 1H NMR 89.56 MHz
    C9 H7 N O2 0.043 g : 0.5 ml DMSO-d6
    2-indolecarboxylic acid
    ChemicalStructure
        Assign.     Shift(ppm)
    A *1 13. B *1 11.8 C 7.661 D 7.479 E 7.25 F 7.14 G 7.10 J(C,G)=7.6HZ J(D,E)=8.1HZ

         Hz     ppm     Int.
    

       1054.70  11.777    268
        690.77   7.713    284
        683.68   7.634    366
        683.17   7.629    384
        682.31   7.619    367
        678.47   7.576     67
        678.04   7.571     68
        675.99   7.548    210
        675.13   7.539    242
        674.54   7.532    233
        671.37   7.497     63
        667.87   7.458    425
        666.50   7.442    478
        658.22   7.350    260
        656.76   7.334    316
        654.03   7.303     68
        653.52   7.298     72
        651.46   7.275    496
        650.01   7.258    424
        648.65   7.243    167
        646.59   7.220     69
        645.83   7.212     66
        643.52   7.186    361
        640.95   7.157   1000
        640.10   7.148    786
        639.33   7.139    801
        638.90   7.134    813
        637.96   7.124    642
        634.20   7.082    284
        633.18   7.070    382
        631.81   7.055    387
        629.33   7.027    102
        628.48   7.018     87
        626.43   6.995    204
        625.06   6.980    174
    

in DMSO-d6



KBr disc



nujol mull