-
MS-NW-1467 8-quinolinol C9H7NO (Mass of molecular ion: 145)
Source Temperature: 240 °C Sample Temperature: 170 °C Reservoir, 75 eV
28.0 1.4 37.0 1.4 38.0 2.6 39.0 6.2 50.0 2.9 51.0 3.2 52.0 1.5 57.5 1.3 58.0 1.3 58.5 9.8 61.0 1.7 62.0 4.5 63.0 10.9 64.0 4.2 65.0 1.2 72.5 1.5 74.0 1.3 75.0 1.4 76.0 1.2 78.0 1.0 87.0 1.2 88.0 1.7 89.0 17.2 90.0 18.1 91.0 2.2 116.0 7.9 117.0 50.8 118.0 4.8 144.0 1.6 145.0 100.0 146.0 10.2
400 MHz in CDCl3
90 MHz in CDCl3
-
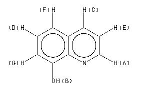
1H NMR 399.65 MHz C9 H7 N O 16.9 mg : 0.5 ml CDCl3 8-quinolinol 
Assign. Shift(ppm)
A 8.783 B 8.3 C 8.148 D 7.453 E 7.426 F 7.330 G 7.191 J(A,E)=4.1Hz. J(C,E)=8.3Hz. J(D,F)=8.3Hz. J(F,G)=1.2Hz. J(D,G)=7.6Hz. J(A,C)=1.6Hz.
Hz ppm Int.3513.18 8.791 573 3511.72 8.787 605 3509.03 8.781 626 3507.45 8.777 623 3261.60 8.162 667 3259.89 8.157 671 3253.17 8.141 722 3251.59 8.137 713 3249.51 8.131 72 2987.67 7.476 596 2979.98 7.457 882 2979.37 7.455 910 2976.56 7.448 83 2974.00 7.442 801 2971.80 7.437 1000 2969.85 7.432 810 2965.70 7.421 755 2961.55 7.411 729 2957.15 7.400 45 2955.81 7.396 44 2933.84 7.342 810 2932.62 7.338 859 2929.32 7.330 68 2928.22 7.327 59 2925.54 7.321 628 2924.32 7.318 610 2877.93 7.202 879 2876.71 7.199 848 2874.51 7.193 82 2873.29 7.190 66 2872.92 7.189 66 2872.56 7.188 64 2870.36 7.183 785 2869.14 7.180 754 2864.99 7.169 48
-
1H NMR 89.56 MHz C9 H7 N O 0.042 g : 0.5 ml CDCl3 8-quinolinol 
Assign. Shift(ppm)
A 8.761 B 8.34 C 8.103 D 7.44 E 7.38 F 7.29 G 7.18 J(A,E)=4.2HZ. J(A,C)=1.6HZ. J(C,E)=8.3HZ. J(F,G)=2.0HZ. J(D,G)=7.1HZ. CONFIRMED BY LAOCN PROGRAM.
Hz ppm Int.787.69 8.796 350 786.06 8.777 379 783.50 8.749 381 781.81 8.730 413 747.19 8.343 132 731.19 8.165 383 729.56 8.147 378 722.88 8.072 490 721.25 8.054 474 674.88 7.536 172 668.00 7.459 240 666.88 7.447 852 662.75 7.401 490 661.38 7.385 53 659.81 7.368 1000 658.63 7.355 481 657.38 7.341 507 655.38 7.318 927 654.44 7.308 486 652.50 7.286 68 649.19 7.249 275 647.19 7.227 811 645.19 7.204 467 643.56 7.186 48 640.13 7.148 331 638.13 7.126 308
更多供应商









