-
MS-IW-0797 9-methylcarbazole C13H11N (Mass of molecular ion: 181)
Source Temperature: 160 °C Sample Temperature: 150 °C Reservoir, 75 eV
63.0 1.4 75.0 1.0 76.0 2.7 77.0 2.8 89.0 1.3 89.5 1.1 90.0 5.7 90.5 7.0 91.0 1.0 139.0 2.1 140.0 3.0 151.0 3.2 152.0 10.4 153.0 3.4 164.0 1.0 166.0 4.2 178.0 2.9 179.0 1.6 180.0 51.5 181.0 100.0 182.0 14.0
400 MHz in CDCl3
-
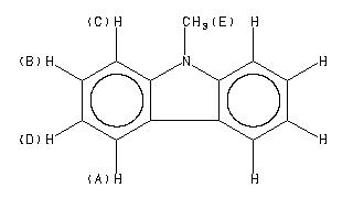
1H NMR 399.65 MHz C13 H11 N 0.038 g : 0.5 ml CDCl3 9-methylcarbazole 
Assign. Shift(ppm)
A 8.070 B 7.437 C 7.329 D 7.208 E 3.738
Hz ppm Int.3229.37 8.081 142 3228.64 8.079 180 3221.56 8.061 152 3220.83 8.060 191 2981.69 7.461 83 2980.47 7.458 81 2974.49 7.443 115 2973.39 7.440 204 2972.29 7.438 124 2966.31 7.423 143 2965.09 7.420 135 2932.74 7.339 237 2924.56 7.318 168 2888.55 7.228 125 2887.57 7.226 116 2880.62 7.208 205 2873.66 7.191 107 2872.68 7.188 98 1494.02 3.739 1000
更多供应商





