图谱信息 供应商 相关产品
网站主页CAS数据库列表 1484-13-5更多图谱N-乙烯基咔唑(1484-13-5)红外图谱(IR2)

N-乙烯基咔唑

产品名称 N-乙烯基咔唑

CAS号1484-13-5

分子式C14H11N

分子量193.24

展开


  • Mass

    MS-NW-1436          
    N-vinylcarbazole
    C14H11N             (Mass of molecular ion:    193)
    

       Source Temperature: 260 °C
       Sample Temperature: 180 °C
       Reservoir, 75 eV
    

          27.0       1.1
          28.0       1.1
          39.0       1.9
          50.0       1.0
          51.0       1.3
          62.0       1.1
          63.0       2.6
          74.0       1.2
          75.0       1.6
          82.5       1.2
          83.5       4.9
          87.0       1.2
          89.0       1.2
          95.5       4.5
          96.0       1.6
          96.5       4.6
         113.0       1.4
         115.0       1.5
         139.0       4.8
         140.0       5.5
         151.0       1.5
         152.0       1.1
         163.0       1.3
         164.0       2.5
         165.0       5.6
         166.0       7.0
         167.0       7.0
         177.0       1.0
         178.0       1.7
         190.0       2.9
         191.0      11.2
         192.0      34.9
         193.0     100.0
         194.0      15.4
         195.0       1.2
    

90 MHz in CDCl3


  • 1H NMR 89.56 MHz
    C14 H11 N 0.045 g : 0.5 ml CDCl3
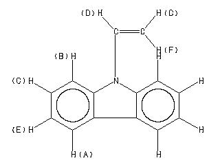
    N-vinylcarbazole
    ChemicalStructure
        Assign.     Shift(ppm)
    A 8.028 B 7.602 C 7.422 D 7.241 E 7.261 F 5.505 G 5.102

         Hz     ppm     Int.
    

        610.69   6.819     49
        610.19   6.814     46
        609.06   6.801     53
        607.50   6.784     52
        606.19   6.769     51
        605.63   6.763     55
        605.06   6.756     58
        602.44   6.727    489
        601.63   6.718    550
        600.94   6.710    501
        599.88   6.699    492
        598.75   6.686     90
        597.69   6.674     67
        596.75   6.664     76
        594.88   6.643    614
        594.44   6.638    620
        593.44   6.627    595
        592.69   6.618    580
        591.25   6.602     55
        571.13   6.378     45
        570.69   6.373     45
        570.19   6.367     46
        569.13   6.355     47
        568.81   6.352     51
        568.25   6.345     56
        567.69   6.339     53
        565.69   6.317    262
        564.94   6.308    277
        563.88   6.297    367
        561.63   6.271     73
        560.94   6.264     67
        560.63   6.260     67
        557.88   6.230    624
        556.81   6.218    749
        556.13   6.210    784
        555.38   6.202    680
        551.69   6.161    504
        550.25   6.144    568
        547.25   6.111    101
        544.81   6.084    943
        543.31   6.067    830
        542.13   6.054    218
        540.63   6.037    130
        539.63   6.026    431
        537.00   5.996    603
        535.06   5.975   1000
        533.25   5.955    765
        531.56   5.936    123
        530.38   5.923    492
        528.06   5.897    494
        527.50   5.890    693
        526.00   5.874    681
        523.69   5.848    527
        521.81   5.827    113
        520.56   5.813    376
        520.06   5.807    476
        519.13   5.797    307
        516.94   5.772     59
        516.06   5.763     76
        514.50   5.745    530
        512.88   5.727     87
        511.06   5.707     45
        510.00   5.695     57
        509.50   5.689     57
        507.50   5.667     51
        506.75   5.659     51
        378.81   4.230    591
        378.00   4.221    592
        362.94   4.053    479
        362.06   4.043    522
        339.94   3.796    437
        339.13   3.787    420
        330.75   3.694    412
        329.88   3.684    374
    

in CDCl3



KBr disc



nujol mull



4880 A,200 M,powder