400 MHz in DMSO-d6
-
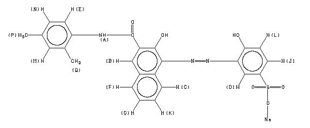
1H NMR 399.65 MHz C25 H20 N3 Na O6 S 0.033 g : 0.5 ml DMSO-d6 sodium 4-hydroxy-3-(2-hydroxy-3-(2,4-xylylcarbamoyl)-1-naphthylazo)benzenesulfonate 
Assign. Shift(ppm)
A 11.5 B 8.815 C 8.411 D 8.249 E 8.115 F 7.941 G *1 7.745 J 7.52 K *1 7.498 L 7.074 M 7.021 N 6.971 P *2 2.354 Q *2 2.238
Hz ppm Int.4592.53 11.492 83 3523.57 8.817 419 3364.95 8.420 122 3356.71 8.400 123 3298.10 8.253 289 3296.08 8.248 318 3247.54 8.126 205 3239.30 8.106 211 3177.21 7.950 165 3169.33 7.931 170 3103.02 7.765 97 3095.88 7.747 162 3087.64 7.726 97 3011.81 7.537 160 3009.79 7.532 172 3003.20 7.515 238 3002.83 7.514 235 3001.37 7.510 262 2994.77 7.494 170 2987.26 7.475 95 2831.57 7.086 241 2823.15 7.065 230 2806.11 7.022 253 2790.18 6.982 139 2789.81 6.981 138 2782.12 6.962 125 2781.57 6.961 126 941.11 2.355 1000 894.40 2.238 915
更多供应商



