图谱信息 供应商 相关产品
网站主页CAS数据库列表 15027-13-1更多图谱N-苄氧羰基-DL-正亮氨酸(15027-13-1)红外图谱(IR1)

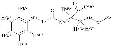
N-苄氧羰基-DL-正亮氨酸

产品名称 N-苄氧羰基-DL-正亮氨酸

CAS号15027-13-1

分子式C14H19NO4

分子量265.3

展开


  • Mass

    MS-NW-2309          
    N-benzyloxycarbonyl-DL-norleucine
    C14H19NO4           (Mass of molecular ion:    265)
    

       Source Temperature: 230 °C
       Sample Temperature: 160 °C
       Direct, 75 eV
    

          15.0       2.9
          16.0       1.0
          17.0       3.3
          18.0      15.1
          26.0       4.1
          27.0      24.0
          28.0      30.7
          29.0      29.5
          30.0       5.3
          31.0       2.4
          37.0       2.4
          38.0       4.6
          39.0      23.8
          40.0       4.3
          41.0      42.0
          42.0      10.8
          43.0     100.0
          44.0      22.8
          45.0       1.4
          49.0       1.2
          50.0       9.6
          51.0      20.6
          52.0       7.2
          53.0       8.0
          53.5       1.1
          54.0      10.5
          55.0       9.8
          56.0      22.7
          57.0      18.0
          58.0       1.1
          61.0       1.5
          62.0       3.1
          63.0       6.8
          64.0       2.1
          65.0      18.7
          66.0       2.5
          67.0       4.0
          68.0       2.6
          69.0       6.9
          70.0       3.4
          71.0       1.1
          73.0       6.4
          74.0       5.8
          75.0       1.6
          76.0       1.7
          77.0      41.4
          78.0      11.2
          79.0      73.5
          80.0       8.7
          81.0       3.0
          82.0       4.1
          83.0       3.0
          84.0       5.3
          85.0       6.1
          86.0       4.5
          87.0       1.0
          89.0       7.6
          90.0       9.2
          91.0      96.2
          92.0      12.3
          93.0       1.6
          94.0       1.2
          95.0       1.5
          96.0       2.4
          98.0       1.8
         101.0      23.2
         102.0       1.0
         105.0       9.8
         106.0       8.2
         107.0      54.7
         108.0      97.6
         109.0       7.8
         111.0       1.4
         112.0      11.8
         113.0       1.5
         129.0       1.9
         130.0       4.4
         176.0       6.7
         177.0       1.0
         220.0       1.0
         265.0       1.3
    

400 MHz in CDCl3


  • 1H NMR 399.65 MHz
    C14 H19 N O4 0.045 g : 0.5 ml CDCl3
    N-benzyloxycarbonyl-DL-norleucine
    ChemicalStructure
        Assign.     Shift(ppm)
    A 11.2 B 7.35 to 7.32 C 6.51 C 5.37 D 5.15 to 5.11 E 4.401 E 4.24 F *1 1.89 G *1 1.69 J 1.34 K 0.889 MIXTURE OF ISOMERS DUE TO C-N RESTRICTED ROTATION

         Hz     ppm     Int.
    

       4484.28  11.221     37
       2945.87   7.372     75
       2945.50   7.371     75
       2945.13   7.370     75
       2940.01   7.357    400
       2935.79   7.346   1000
       2928.65   7.329    312
       2925.90   7.322    318
       2920.41   7.308    137
       2918.03   7.302     98
       2912.71   7.289     30
       2912.16   7.287     30
       2151.11   5.383    110
       2142.68   5.362    113
       2057.33   5.148    155
       2053.11   5.138     52
       2052.75   5.137     51
       2051.83   5.135     48
       2051.28   5.133     49
       2050.73   5.132     49
       2045.05   5.118    425
       2042.49   5.111    341
       2030.22   5.080     37
       1769.57   4.428     42
       1764.26   4.415     57
       1761.70   4.409     82
       1758.76   4.401     45
       1756.57   4.396     81
       1753.82   4.389     59
       1748.51   4.376     41
        362.49   0.908    192
        355.71   0.891    403
        348.75   0.873    219
        340.32   0.852     55
    

in CDCl3



KBr disc



nujol mull



4880 A,200 M,powder