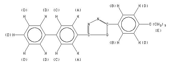
2-(4'-叔丁苯基)-5-(4'-联苯基)-1,3,4-恶二唑
产品名称 2-(4'-叔丁苯基)-5-(4'-联苯基)-1,3,4-恶二唑
CAS号15082-28-7
分子式C24H22N2O
分子量354.44
-
MS-NW-7062 2-(4-biphenylyl)-5-(p-tert-butylphenyl)-1,3,4-oxadiazole C24H22N2O (Mass of molecular ion: 354)
Source Temperature: 200 °C Sample Temperature: 140 °C Direct, 75 eV
18.0 1.9 39.0 2.5 41.0 4.8 51.0 1.6 57.0 4.4 63.0 1.9 65.0 1.0 75.0 1.2 76.0 1.9 77.0 4.1 78.0 1.1 89.0 1.6 90.0 1.4 91.0 3.7 102.0 2.1 103.0 1.5 104.0 1.2 105.0 2.0 115.0 4.4 116.0 4.0 117.0 2.5 118.0 4.8 119.0 2.2 127.0 1.9 128.0 1.4 129.0 1.0 132.0 1.4 139.0 1.0 144.0 4.7 145.0 2.7 146.0 3.5 151.0 4.0 152.0 13.9 153.0 11.2 154.0 1.4 155.5 10.9 156.0 2.8 159.0 1.4 161.0 16.0 162.0 2.1 165.0 2.0 166.0 1.1 169.5 9.3 170.0 2.5 177.0 1.7 178.0 2.2 179.0 8.7 180.0 2.0 181.0 24.4 182.0 3.6 239.0 1.2 241.0 4.9 242.0 3.2 243.0 1.0 253.0 1.5 254.0 1.6 255.0 2.6 267.0 1.6 268.0 2.8 283.0 9.0 284.0 2.3 296.0 1.2 298.0 1.9 311.0 1.7 339.0 56.4 340.0 14.9 341.0 2.2 354.0 100.0 355.0 27.0 356.0 4.0
400 MHz in CDCl3
90 MHz in CDCl3
-
1H NMR 399.65 MHz C24 H22 N2 O 0.050 g : 0.5 ml CDCl3 2-(4-biphenylyl)-5-(p-tert-butylphenyl)-1,3,4-oxadiazole 
Assign. Shift(ppm)
A 8.190 B 8.072 C 7.736 D 7.635 E 7.546 F 7.467 G 7.394 J 1.367
Hz ppm Int.3277.59 8.202 71 3269.04 8.180 78 3230.71 8.084 68 3222.17 8.063 75 3096.07 7.747 87 3087.52 7.726 79 3057.13 7.650 46 3055.66 7.646 63 3049.93 7.632 32 3048.71 7.629 67 3047.61 7.626 57 3020.02 7.557 84 3011.47 7.536 78 2992.07 7.487 37 2984.86 7.469 76 2983.40 7.466 37 2977.17 7.450 45 2960.69 7.409 33 2953.25 7.390 37 546.63 1.368 1000
-
1H NMR 89.56 MHz C24 H22 N2 O 0.040 g : 0.5 ml CDCl3 2-(4-biphenylyl)-5-(p-tert-butylphenyl)-1,3,4-oxadiazole 
Assign. Shift(ppm)
A 8.19 B 8.07 C 7.75 D 7.75 to 7.33 E 1.373
Hz ppm Int.738.81 8.250 60 732.13 8.175 33 730.25 8.154 93 728.00 8.129 68 719.31 8.032 82 697.75 7.791 90 690.75 7.713 43 689.06 7.694 66 682.50 7.621 65 680.44 7.598 134 678.31 7.574 40 675.00 7.537 35 673.44 7.520 41 671.50 7.498 88 670.38 7.486 59 668.06 7.460 40 665.13 7.427 62 663.00 7.403 56 123.06 1.375 1000
更多供应商








