图谱信息 供应商 相关产品
网站主页CAS数据库列表 15149-10-7更多图谱2-(4-甲基苯氧基)乙醇(15149-10-7)红外图谱(IR1)

2-(4-甲基苯氧基)乙醇

产品名称 2-(4-甲基苯氧基)乙醇

CAS号15149-10-7

分子式C9H12O2

分子量152.19

展开


  • Mass

    MS-NW-2386          
    2-(p-tolyloxy)ethanol
    C9H12O2             (Mass of molecular ion:    152)
    

       Source Temperature: 280 °C
       Sample Temperature: 170 °C
       Reservoir, 75 eV
    

          15.0       1.4
          27.0       5.2
          28.0       1.2
          29.0       4.3
          31.0       1.3
          39.0       5.3
          41.0       1.1
          43.0       2.8
          44.0       2.4
          45.0       8.3
          50.0       2.4
          51.0       5.0
          52.0       2.6
          53.0       2.8
          63.0       2.9
          65.0       7.7
          77.0      10.3
          78.0       2.7
          79.0       8.7
          80.0       5.9
          89.0       2.4
          90.0       6.5
          91.0      19.7
          92.0       1.8
          93.0       2.2
         107.0      53.2
         108.0     100.0
         109.0      10.3
         121.0       4.7
         152.0      35.3
         153.0       3.5
    

90 MHz in CDCl3


  • 1H NMR 89.56 MHz
    C9 H12 O2 0.048 g : 0.5 ml CDCl3
    2-(p-tolyloxy)ethanol
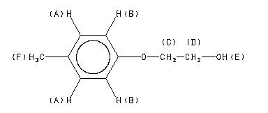
    ChemicalStructure
        Assign.     Shift(ppm)
    A 7.05 B 6.81 C 4.01 D 3.92 E 2.43 F 2.28

         Hz     ppm     Int.
    

        638.00   7.124    141
        637.38   7.117    164
        635.81   7.100     71
        635.13   7.092     61
        631.50   7.052     68
        630.94   7.045     79
        629.13   7.025    320
        628.56   7.019    290
        626.63   6.997     61
        626.06   6.991     56
        615.19   6.870     58
        612.69   6.842    447
        610.31   6.815    120
        606.13   6.768     76
        603.94   6.744    216
        366.50   4.093     50
        364.38   4.069     80
        363.44   4.059     75
        361.25   4.034    126
        360.19   4.022    130
        359.44   4.014    184
        357.19   3.989    378
        356.63   3.983    360
        353.69   3.950    371
        353.13   3.943    385
        350.94   3.919    182
        350.13   3.910    148
        349.13   3.899    129
        346.88   3.874     81
        346.00   3.864     81
        343.88   3.840     54
        217.50   2.429    462
        203.75   2.276   1000
    

in CDCl3



CCl4 solution



KBr disc



nujol mull



4880 A,200 M,powder