图谱信息 供应商 相关产品
网站主页CAS数据库列表 154-41-6更多图谱盐酸苯丙醇胺(154-41-6)Raman光谱

盐酸苯丙醇胺

产品名称 盐酸苯丙醇胺

CAS号154-41-6

分子式C9H14ClNO

分子量187.67

展开



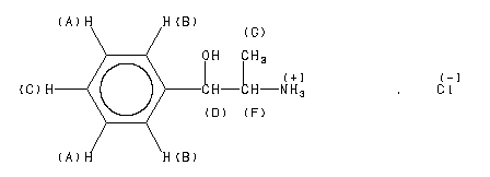
  •     Assign.     Shift(ppm)
    A 7.51 B 7.47 C 7.46 D 5.007 F 3.722 G 1.221 The solvent signal removed.
    Spectral Code: 1H NMR : 400 MHz in D2O



  •        ppm   Int.  Assign.
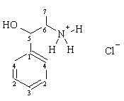
    139.29 385 1 129.71 1000 2 129.44 456 3 127.20 923 4 73.72 510 5 53.07 353 6 13.26 201 7
    Spectral Code: 13C NMR : D2O


  • Spectral Code: IR : KBr disc


  • Spectral Code: Raman : 4880 A,200 M,powder

更多供应商