图谱信息 供应商 相关产品
网站主页CAS数据库列表 15448-99-4更多图谱N-甲基糖精(15448-99-4)红外图谱(IR2)

N-甲基糖精

产品名称 N-甲基糖精

CAS号15448-99-4

分子式C8H7NO3S

分子量197.21

展开


  • Mass

    MS-NW-0237          
    N-methyl-o-sulfobenzoic cyclic imide
    C8H7NO3S            (Mass of molecular ion:    197)
    

       Source Temperature: 170 °C
       Sample Temperature:   0 °C
       Direct, 75 eV
    

          15.0       2.0
          18.0       3.4
          27.0       1.2
          28.0       6.1
          29.0       1.0
          38.0       2.5
          39.0       5.2
          40.0       6.2
          45.5       1.4
          48.0       1.8
          49.0       1.8
          50.0      44.0
          51.0      10.9
          52.0       2.9
          53.0       1.5
          56.0       1.6
          61.0       1.5
          62.0       1.7
          63.0       9.0
          64.0       5.5
          65.0       2.3
          69.0       4.1
          70.0       2.7
          73.0       2.5
          74.0      17.2
          75.0      17.1
          76.0      63.2
          77.0      23.3
          78.0      12.0
          79.0       1.3
          82.0       1.2
          84.0       5.5
          90.0       5.3
          91.0       1.0
          92.0       8.8
          93.0       1.1
          95.0       2.3
          96.0       3.6
          97.0       2.1
         102.0       1.9
         103.0      11.4
         104.0      56.2
         105.0      41.1
         106.0       9.4
         108.0       1.4
         117.0       9.3
         118.0       1.1
         119.0       1.5
         120.0       6.8
         121.0       4.6
         132.0      49.5
         133.0      59.7
         134.0       5.3
         140.0       1.7
         150.0       1.5
         152.5       2.7
         169.0      10.4
         170.0       1.0
         196.0       7.7
         197.0     100.0
         198.0      10.3
         199.0       5.2
    

400 MHz in CDCl3


  • 1H NMR 399.65 MHz
    C8 H7 N O3 S 0.034 g : 0.5 ml CDCl3
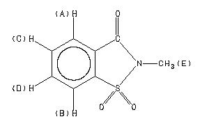
    N-methyl-o-sulfobenzoic cyclic imide
    ChemicalStructure
        Assign.     Shift(ppm)
    A 8.069 B 7.947 C 7.88 D 7.85 E 3.273

         Hz     ppm     Int.
    

       3229.49   8.081     58
       3228.88   8.080     67
       3228.27   8.078     64
       3227.17   8.075     59
       3221.92   8.062     87
       3220.83   8.060     74
       3220.09   8.058     72
       3182.25   7.963     48
       3181.64   7.962     51
       3180.54   7.959     66
       3175.05   7.945     75
       3173.95   7.942     88
       3173.46   7.941     94
       3172.73   7.939     86
       3158.81   7.904     45
       3157.47   7.901     53
       3151.37   7.886    104
       3149.90   7.882    100
       3144.17   7.868     81
       3142.46   7.864    143
       3140.87   7.860     93
       3135.01   7.845     97
       3133.67   7.842     80
       3127.56   7.826     34
       1308.59   3.275   1000
    

in CDCl3



KBr disc



nujol mull