图谱信息 供应商 相关产品
网站主页CAS数据库列表 15499-84-0更多图谱9,9-双(4-氨基苯基)芴(15499-84-0)质谱(MS)

9,9-双(4-氨基苯基)芴

产品名称 9,9-双(4-氨基苯基)芴

CAS号15499-84-0

分子式C25H20N2

分子量348.44

展开


  • Mass

    MS-IW-4844          
    4,4'-(9-fluorenylidene)dianiline
    C25H20N2            (Mass of molecular ion:    348)
    

       Source Temperature: 150 °C
       Sample Temperature: 130 °C
       Direct, 75 eV
    

          93.0       1.9
         106.0       1.4
         151.0       1.0
         152.0       1.1
         164.0       1.8
         164.5       1.7
         165.0       2.4
         165.5       1.6
         166.0       1.2
         172.5       1.0
         173.0       1.7
         173.5       3.5
         174.0      14.2
         174.5       4.0
         202.0       1.2
         215.0       1.3
         226.0       2.4
         227.0       2.2
         228.0       1.6
         239.0       4.0
         240.0       1.4
         243.0       1.8
         254.0       8.3
         255.0       4.6
         256.0      31.1
         257.0       6.7
         304.0       1.0
         330.0       2.3
         331.0       1.5
         332.0       6.3
         333.0       1.9
         345.0       1.2
         347.0      22.9
         348.0     100.0
         349.0      27.2
         350.0       3.7
    

400 MHz in DMSO-d6


  • 1H NMR 399.65 MHz
    C25 H20 N2 0.038 g : 0.5 ml DMSO-d6
    4,4'-(9-fluorenylidene)dianiline
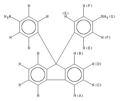
    ChemicalStructure
        Assign.     Shift(ppm)
    A 7.842 B 7.35 C 7.32 D 7.259 E 6.779 F 6.423 G 4.93

         Hz     ppm     Int.
    

       3138.18   7.853    383
       3130.86   7.835    423
       2941.41   7.360    328
       2933.72   7.341    610
       2926.03   7.322    414
       2925.17   7.320    391
       2918.70   7.304    284
       2912.35   7.288     30
       2911.62   7.286     31
       2907.23   7.275    297
       2906.37   7.273    317
       2899.90   7.257    359
       2899.05   7.254    369
       2894.90   7.244     47
       2892.58   7.238    136
       2891.72   7.236    134
       2713.87   6.791    771
       2705.32   6.770    913
       2571.17   6.434    888
       2562.62   6.413    833
       1971.68   4.934   1000
    

in DMSO-d6



KBr disc



nujol mull