400 MHz in CDCl3
-
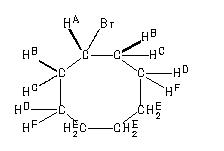
1H NMR 399.65 MHz C8 H15 Br 0.01 ml : 0.5 ml CDCl3 bromocyclooctane 
Assign. Shift(ppm)
A 4.423 B 2.230 C 2.141 D *1 1.750 E 1.64 to 1.53 F *1 1.50 ASSIGNED BY H-H COSY SAMPLE OFFERED FROM DR. A.OHUCHI(NCLI).
Hz ppm Int.1780.76 4.456 126 1776.49 4.446 248 1772.22 4.435 365 1767.94 4.424 477 1763.67 4.414 371 1759.40 4.403 248 1755.13 4.392 130 909.42 2.276 195 906.62 2.269 226 905.15 2.265 219 902.34 2.258 236 900.39 2.253 180 897.71 2.247 206 896.00 2.242 225 894.29 2.238 460 891.60 2.231 435 890.01 2.227 417 887.33 2.221 410 885.25 2.216 362 882.69 2.209 357 880.98 2.205 347 878.54 2.199 321 870.00 2.177 396 866.94 2.170 273 861.33 2.156 734 858.64 2.149 484 854.86 2.140 243 852.66 2.134 450 850.10 2.128 282 846.31 2.118 395 843.63 2.111 191 837.65 2.096 229 835.21 2.090 105 715.70 1.791 88 711.91 1.782 174 709.47 1.776 191 707.15 1.770 188 704.47 1.763 226 702.64 1.759 244 700.44 1.753 222 697.02 1.745 251 695.56 1.741 257 693.36 1.735 225 690.92 1.729 171 687.99 1.722 185 685.79 1.716 159 681.52 1.706 93 659.67 1.651 38 648.80 1.624 130 647.58 1.621 141 646.36 1.618 161 644.53 1.613 154 642.09 1.607 192 640.63 1.603 210 638.67 1.599 277 632.08 1.582 640 630.13 1.577 785 624.76 1.564 971 620.85 1.554 701 619.63 1.551 828 617.68 1.546 1000 614.38 1.538 613 611.21 1.530 455 609.13 1.525 369 607.79 1.521 335 605.96 1.517 396 603.76 1.511 367 602.54 1.508 340 599.37 1.500 311 596.31 1.493 268 592.41 1.483 190 590.45 1.478 179 587.65 1.471 159 585.57 1.466 71 584.96 1.464 71 582.64 1.458 69 579.83 1.451 45
更多供应商


