图谱信息 供应商 相关产品
网站主页CAS数据库列表 1563-38-8更多图谱呋喃酚(1563-38-8)核磁图(1HNMR)

呋喃酚

产品名称 呋喃酚

CAS号1563-38-8

分子式C10H12O2

分子量164.2

展开


  • Mass

    MS-IW-4054          
    2,2-dimethyl-2,3-dihydro-7-benzofuranol
    C10H12O2            (Mass of molecular ion:    164)
    

       Source Temperature: 220 °C
       Sample Temperature: 150 °C
       Reservoir, 75 eV
    

          27.0       3.4
          28.0       1.5
          29.0       1.6
          39.0       9.8
          40.0       2.1
          41.0       7.0
          43.0       3.8
          50.0       2.0
          51.0       9.6
          52.0       3.5
          53.0       3.8
          55.0       5.6
          56.0       1.0
          63.0       2.7
          64.0       1.4
          65.0       6.5
          66.0       3.8
          67.0       2.2
          73.5       1.0
          74.0       1.1
          74.5       1.5
          77.0      13.9
          78.0       6.1
          79.0       4.2
          80.0       1.2
          81.0       1.5
          82.0       1.8
          89.0       1.3
          91.0      10.9
          92.0       1.9
          93.0       3.8
          94.0       5.1
          95.0       3.3
         102.0       1.4
         103.0      16.8
         104.0       1.9
         105.0       3.7
         106.0       2.1
         107.0       8.3
         108.0       1.5
         110.0       5.2
         115.0       3.5
         116.0       1.2
         117.0       8.0
         118.0       4.7
         119.0       2.7
         120.0       1.0
         121.0      21.3
         122.0      27.9
         123.0      28.8
         124.0       5.8
         127.0       1.6
         131.0      31.5
         132.0       3.9
         134.0       1.1
         135.0       6.1
         136.0       3.0
         137.0       1.3
         145.0       7.6
         146.0       6.9
         147.0      13.2
         148.0       3.0
         149.0      82.9
         150.0       8.3
         163.0       4.9
         164.0     100.0
         165.0      11.0
         166.0       1.0
    

400 MHz in CDCl3


  • 1H NMR 399.65 MHz
    C10 H12 O2 0.05 ml : 0.5 ml CDCl3
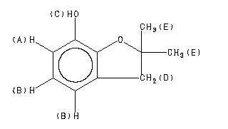
    2,2-dimethyl-2,3-dihydro-7-benzofuranol
    ChemicalStructure
        Assign.     Shift(ppm)
    A 6.74 B 6.69 C 5.85 D 3.007 E 1.468

         Hz     ppm     Int.
    

       2698.97   6.754     41
       2695.92   6.746     68
       2693.73   6.741     38
       2692.75   6.738     71
       2691.77   6.736     47
       2689.58   6.730    121
       2686.04   6.721     93
       2678.96   6.704    254
       2675.78   6.696    141
       2672.61   6.688    233
       2669.43   6.680     22
       2668.70   6.678     29
       2337.65   5.850    316
       1201.78   3.008    410
        586.79   1.469   1000
        576.42   1.443     26
    

in CDCl3



liquid film