产品名称 2-甲基-[1,8]-萘啶
CAS号1569-16-0
分子式C9H8N2
分子量144.17
InChIInChI=1S/C9H8N2/c1-7-4-5-8-3-2-6-10-9(8)11-7/h2-6H,1H3
InChIKeyFSWRUYCICUXURT-UHFFFAOYSA-N
SmilesN1C2C(=CC=CN=2)C=CC=1C
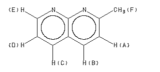
展开 收起
Parameter ppm Hz D(A) 7.35 D(B) 8.08 J(A,B) 8.5 D(C) 8.15 D(D) 7.31 D(E) 9.09 J(C,D) 8.2 J(C,E) 2.1 J(D,E) 4.3 D(F) 2.8 HAWES,E.M. & WIBBERLEY,D.G. J.CHEM.SOC. C 1967, 1564
更多供应商
2-甲基-[1,8]-萘啶(1569-16-0)核磁图(1HNMR) 相关产品图谱