图谱信息 供应商 相关产品
网站主页CAS数据库列表 15690-25-2更多图谱3-(2-噻嗯基)丙烯酸(15690-25-2)红外图谱(IR1)

3-(2-噻嗯基)丙烯酸

产品名称 3-(2-噻嗯基)丙烯酸

CAS号15690-25-2

分子式C7H6O2S

分子量154.19

展开


  • Mass

    MS-NW-7995          
    trans-3-(2-thienyl)acrylic acid
    C7H6O2S             (Mass of molecular ion:    154)
    

       Source Temperature: 140 °C
       Sample Temperature: 120 °C
       Direct, 75 eV
    

          17.0       1.1
          18.0       5.5
          27.0       2.2
          28.0       2.2
          37.0       2.4
          38.0       4.2
          39.0      19.4
          40.0       1.1
          44.0       1.0
          45.0      17.0
          49.0       1.3
          50.0       4.9
          51.0       6.5
          53.0       1.9
          54.0       2.8
          54.5       2.7
          55.0       1.9
          57.0       4.0
          58.0       6.6
          59.0       2.2
          61.0       1.6
          62.0       2.7
          63.0       8.6
          64.0       1.4
          65.0      26.5
          66.0       2.6
          68.5       2.7
          69.0      11.6
          70.0       1.1
          71.0       1.9
          74.0       2.0
          75.0       1.3
          77.0       2.0
          81.0       1.9
          82.0       3.2
          83.0       1.6
          84.0       3.7
          85.0       1.5
          93.0       1.6
          97.0      12.1
          98.0       2.3
         100.0       1.3
         108.0      13.7
         109.0      33.5
         110.0       3.8
         111.0       3.0
         112.0       9.2
         113.0       3.7
         121.0      35.2
         122.0       3.0
         125.0       1.4
         126.0       3.3
         137.0      43.1
         138.0       3.8
         139.0       2.1
         153.0       6.3
         154.0     100.0
         155.0       9.2
         156.0       5.3
    

90 MHz at 46C


  • 1H NMR 89.56 MHz
    C7 H6 O2 S 0.040 g : 0.5 ml CDCl3 at 46C
    trans-3-(2-thienyl)acrylic acid
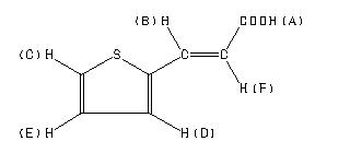
    ChemicalStructure
        Assign.     Shift(ppm)
    A 11.68 B 7.864 C 7.397 D 7.274 E 7.056 F 6.238 J(B,F)=15.7HZ J(E,C)=5.1HZ J(E,D)=3.7HZ

         Hz     ppm     Int.
    

       1045.81  11.678    368
        713.07   7.962    608
        697.44   7.788    746
        665.39   7.430    450
        664.54   7.421    345
        660.35   7.374    624
        657.28   7.339     99
        654.54   7.309    431
        653.94   7.302    443
        653.43   7.297    420
        650.87   7.268    648
        650.35   7.262    607
        649.76   7.256    512
        635.74   7.099    835
        632.07   7.058    616
        630.70   7.043    638
        627.03   7.002    452
        565.93   6.320   1000
        550.29   6.145    813
    

in CDCl3



KBr disc



nujol mull