图谱信息 供应商 相关产品
网站主页CAS数据库列表 1571-75-1更多图谱双酚AP(1571-75-1)质谱(MS)

双酚AP

产品名称 双酚AP

CAS号1571-75-1

分子式C20H18O2

分子量290.36

展开


  • Mass

    MS-IW-4871          
    4,4'-(alpha-methylbenzylidene)diphenol
    C20H18O2            (Mass of molecular ion:    290)
    

       Source Temperature: 170 °C
       Sample Temperature: 140 °C
       Direct, 75 eV
    

          18.0       2.2
          55.0       1.4
          65.0       1.6
          77.0       2.2
          91.0       2.8
          94.0       1.1
         101.0       1.4
         103.0       3.4
         106.0       1.4
         107.0       1.0
         113.0       1.3
         115.0       1.4
         119.0       5.3
         120.0       1.0
         128.0       1.5
         145.0       1.6
         152.0       3.5
         153.0       2.4
         165.0       2.0
         181.0       9.9
         182.0       2.1
         195.0       1.3
         196.0       1.4
         197.0       7.2
         198.0       1.3
         202.0       1.2
         213.0       7.2
         214.0       1.2
         215.0       1.1
         231.0       1.3
         245.0       1.1
         274.0       1.4
         275.0     100.0
         276.0      21.1
         277.0       2.5
         290.0      23.3
         291.0       5.1
    

400 MHz in DMSO-d6


  • 1H NMR 399.65 MHz
    C20 H18 O2 0.038 g : 0.5 ml DMSO-d6
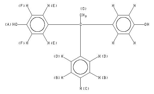
    4,4'-(alpha-methylbenzylidene)diphenol
    ChemicalStructure
        Assign.     Shift(ppm)
    A 9.27 B 7.243 C 7.165 D 7.032 E 6.823 F 6.671 G 2.022

         Hz     ppm     Int.
    

       3703.92   9.268   1000
       2903.44   7.265     99
       2901.76   7.261     44
       2896.12   7.247    235
       2888.49   7.228    185
       2870.48   7.183     58
       2869.26   7.180    101
       2868.04   7.177     65
       2863.92   7.167     46
       2861.94   7.162    130
       2859.80   7.156     36
       2855.99   7.147     31
       2854.77   7.144     47
       2814.48   7.043    194
       2813.11   7.039    247
       2811.13   7.034     70
       2805.94   7.021    204
       2734.99   6.844     65
       2732.09   6.837    497
       2729.95   6.831    177
       2725.37   6.820    220
       2723.24   6.815    660
       2720.34   6.807     86
       2673.03   6.689     94
       2670.14   6.682    685
       2668.00   6.676    205
       2663.42   6.665    196
       2661.29   6.660    540
       2658.23   6.652     62
        807.95   2.022    445
    

in DMSO-d6



KBr disc



nujol mull