图谱信息 供应商 相关产品
网站主页CAS数据库列表 15721-27-4更多图谱2-氯苯甲酸乙烯基酯(含稳定剂氢醌)(15721-27-4)红外图谱(IR1)

2-氯苯甲酸乙烯基酯(含稳定剂氢醌)

产品名称 2-氯苯甲酸乙烯基酯(含稳定剂氢醌)

CAS号15721-27-4

分子式C9H7ClO2

分子量182.6

展开


  • Mass

    MS-NW-6647          
    vinyl o-chlorobenzoate
    C9H7ClO2            (Mass of molecular ion:    182)
    

       Source Temperature: 260 °C
       Sample Temperature: 190 °C
       Reservoir, 75 eV
    

          15.0       1.7
          27.0       1.8
          43.0       1.2
          50.0       6.8
          51.0       3.3
          74.0       3.6
          75.0      16.5
          76.0       4.3
          85.0       2.1
         111.0      29.9
         112.0       2.3
         113.0      10.0
         139.0     100.0
         140.0       7.6
         141.0      31.5
         142.0       2.6
    

400 MHz in CDCl3

90 MHz in CDCl3


  • 1H NMR 399.65 MHz
    C9 H7 Cl O2 0.05 ml : 0.5 ml CDCl3
    vinyl o-chlorobenzoate
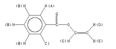
    ChemicalStructure
        Assign.     Shift(ppm)
    A 7.910 B 7.489 C 7.46 D 7.43 E 7.321 F 5.066 G 4.720 J(A,E)=2.2HZ J(B,F)=13.9HZ J(B,G)=6.3HZ J(C,D)=1.6HZ J(F,G)=-1.7HZ 90MHZ : HSP-06-118

         Hz     ppm     Int.
    

       3166.50   7.924    331
       3165.77   7.922    375
       3165.16   7.920    370
       3164.43   7.919    356
       3161.25   7.911     40
       3158.20   7.903    404
       3157.10   7.900    417
       3153.08   7.890     30
       3152.34   7.888     31
       3004.27   7.518    562
       2997.92   7.502    610
       2994.63   7.494     42
       2990.23   7.483    627
       2986.08   7.472    115
       2985.35   7.470    158
       2984.01   7.467    729
       2978.03   7.452    661
       2977.29   7.450    948
       2975.71   7.446   1000
       2970.58   7.433    561
       2968.99   7.429    532
       2967.77   7.426    122
       2964.60   7.418     54
       2963.87   7.417     63
       2962.52   7.413    204
       2960.94   7.409    185
       2957.15   7.400     35
       2955.57   7.396     31
       2940.31   7.358     40
       2933.47   7.341    378
       2931.27   7.335    327
       2927.00   7.324    277
       2925.66   7.321    382
       2924.80   7.319    314
       2923.58   7.316    347
       2921.02   7.309     40
       2919.07   7.305    252
       2916.99   7.299    253
       2032.59   5.086    594
       2030.88   5.082    622
       2018.68   5.052    595
       2016.97   5.047    595
       1890.63   4.731    585
       1888.79   4.727    616
       1884.28   4.715    602
       1882.57   4.711    593
       1877.20   4.698     35
       1875.37   4.693     32
    


  • 1H NMR 89.56 MHz
    C9 H7 Cl O2 0.05 ml : 0.5 ml CDCl3
    vinyl o-chlorobenzoate
    ChemicalStructure
        Assign.     Shift(ppm)
    A 7.910 B 7.50 to 7.26 C 7.47 D 5.069 E 4.722 J(C,D)=14.0HZ J(C,E)=6.3HZ J(D,E)=-1.8HZ 400MHZ : HSP-42-171

         Hz     ppm     Int.
    

        716.56   8.001     37
        714.00   7.973    176
        712.63   7.958    305
        710.50   7.934    182
        708.81   7.915     63
        706.75   7.892    316
        705.00   7.872    251
        704.06   7.862    245
        700.44   7.821     53
        699.00   7.805     32
        698.63   7.801     33
        684.00   7.638     32
        681.06   7.605    345
        678.75   7.579     46
        674.81   7.535    392
        673.25   7.518    104
        671.25   7.495    246
        670.63   7.489    268
        669.19   7.472    565
        667.13   7.449    749
        666.44   7.442    862
        665.75   7.434   1000
        664.00   7.415    593
        662.38   7.396    509
        660.94   7.380    504
        659.19   7.361    210
        657.56   7.343    255
        655.19   7.316    284
        652.69   7.288    105
        651.38   7.274    256
        650.00   7.258    126
        648.00   7.236     40
        646.25   7.216     80
        461.44   5.153    399
        459.69   5.133    412
        447.50   4.997    344
        445.81   4.978    371
        426.88   4.767    403
        425.13   4.747    368
        420.63   4.697    400
        418.88   4.678    336
    

in CDCl3



liquid film