图谱信息 供应商 相关产品
网站主页CAS数据库列表 15802-80-9更多图谱3-叔丁基吡唑(15802-80-9)核磁图(1HNMR)

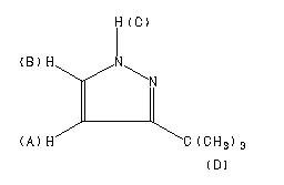
3-叔丁基吡唑

产品名称 3-叔丁基吡唑

CAS号15802-80-9

分子式C7H12N2

分子量124.18

展开

parameter in CCl4


  • 1H NMR 300 MHz
    C7 H12 N2 0.5 M in CCl4
    3-tert-butylpyrazole
    ChemicalStructure
        Parameter     ppm  Hz
    D(A) 6.09 D(B) 7.51 J(A,B) 2.0 D(C) 12.96 D(B) 1.37 WILLIAMS,J.K. J.ORG.CHEM. 29, 1377 (1964)

         Hz     ppm     Int.
    

       3888.02  12.960    111
       2254.02   7.513     57
       2252.10   7.507     58
       1827.96   6.093     58
       1826.15   6.087     58
        411.04   1.370   1000