产品名称 9,10-二溴菲
CAS号15810-15-8
分子式C14H8Br2
分子量336.02
InChIInChI=1S/C14H8Br2/c15-13-11-7-3-1-5-9(11)10-6-2-4-8-12(10)14(13)16/h1-8H
InChIKeyWZVDACBKJRRYBN-UHFFFAOYSA-N
SmilesC1=C2C(C3C(C(Br)=C2Br)=CC=CC=3)=CC=C1
展开 收起
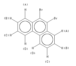
Parameter ppm Hz D(A) 8.365 D(B) 7.57 D(C) 7.60 D(D) 8.505 J(A,B) 8.1 J(A,C) 1.7 J(A,D) 0.5 J(B,C) 6.9 J(B,D) 1.0 J(C,D) 8.8 BARTLE,K.D. & SMITH,J.A.S. SPECTROCHIM.ACTA 23A, 1689 (1967)
更多供应商
9,10-二溴菲(15810-15-8)核磁图(1HNMR) 相关产品图谱