图谱信息 供应商 相关产品
网站主页CAS数据库列表 15888-38-7更多图谱5'-O-乙酰基-2'3'-O-异亚丙基腺苷(15888-38-7)质谱(MS)

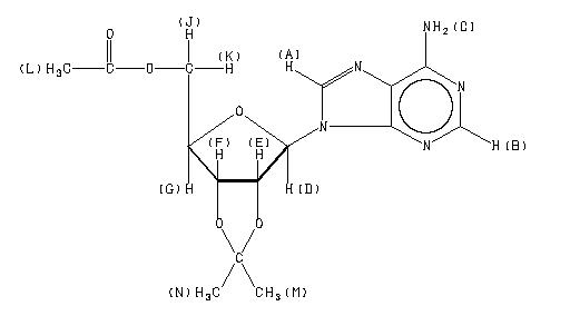
5'-O-乙酰基-2'3'-O-异亚丙基腺苷

产品名称 5'-O-乙酰基-2'3'-O-异亚丙基腺苷

CAS号15888-38-7

分子式C15H19N5O5

分子量349.34


  • Mass

    MS-NW-7438          
    5'-acetyl-2',3'-O-isopropylideneadenosine
    C15H19N5O5          (Mass of molecular ion:    349)
    

       Source Temperature: 210 °C
       Sample Temperature: 140 °C
       Direct, 75 eV
    

          15.0       1.3
          17.0       1.2
          18.0       5.9
          27.0       2.2
          28.0       6.5
          29.0       2.1
          31.0       1.7
          39.0       3.2
          40.0       1.8
          41.0       6.7
          42.0       1.6
          43.0      89.6
          44.0       2.3
          52.0       1.1
          53.0       2.2
          54.0       4.0
          55.0      19.5
          56.0       1.3
          57.0       4.0
          59.0       9.4
          61.0       1.2
          65.0       1.2
          66.0       3.7
          67.0       3.2
          68.0       5.9
          69.0      18.2
          70.0       1.8
          71.0       2.4
          73.0       1.6
          79.0       1.3
          80.0       1.9
          81.0       5.4
          82.0       1.0
          83.0       1.1
          84.0       1.0
          85.0      10.7
          86.0       3.4
          87.0       1.0
          92.0       1.9
          93.0       1.1
          94.0       1.2
          95.0       1.0
          96.0       1.7
          97.0      14.4
          98.0       1.7
          99.0       2.2
         101.0       1.9
         106.0       2.1
         107.0       1.4
         108.0      12.5
         109.0       1.9
         115.0       3.7
         119.0       3.0
         127.0       1.3
         133.0       2.2
         134.0       4.1
         135.0      27.5
         136.0      28.9
         137.0       2.7
         139.0       1.8
         148.0       2.6
         155.0       1.6
         156.0       1.3
         157.0       6.0
         160.0       1.3
         161.0       2.6
         162.0       1.8
         163.0       1.0
         164.0     100.0
         165.0       8.9
         173.0       1.3
         174.0       1.2
         178.0       1.7
         190.0       2.3
         202.0       1.7
         204.0       3.9
         214.0       1.6
         215.0       2.9
         218.0      69.9
         219.0       8.8
         220.0       1.1
         231.0       1.7
         232.0       4.3
         276.0       1.9
         290.0       6.0
         291.0       9.1
         292.0       1.7
         306.0       1.4
         334.0       7.2
         335.0       1.4
         349.0       3.9
    

400 MHz in DMSO-d6


  • 1H NMR 399.65 MHz
    C15 H19 N5 O5 0.038 g : 0.5 ml DMSO-d6
    5'-acetyl-2',3'-O-isopropylideneadenosine
    ChemicalStructure
        Assign.     Shift(ppm)
    A 8.325 B 8.198 C 7.36 D 6.220 E 5.506 F 5.078 G 4.376 J *1 4.247 K *1 4.148 L 1.970 M *2 1.554 N *2 1.345 ASSIGNED BY H-H COSY.

         Hz     ppm     Int.
    

       3327.27   8.326    340
       3276.49   8.199    374
       2948.24   7.378    166
       2487.06   6.224    141
       2484.74   6.218    147
       2204.83   5.517     70
       2202.51   5.512     72
       2198.61   5.502     74
       2196.29   5.496     74
       2034.06   5.090     68
       2030.88   5.082     72
       2027.83   5.075     65
       2024.66   5.067     64
       1752.56   4.386     48
       1750.61   4.381     52
       1749.39   4.378     51
       1747.31   4.373     52
       1746.34   4.370     48
       1742.80   4.361     36
       1706.91   4.272     49
       1702.27   4.260     45
       1695.07   4.242     85
       1690.55   4.231     67
       1665.53   4.168     76
       1659.06   4.152     70
       1653.69   4.138     52
       1647.34   4.122     42
        787.48   1.971   1000
        621.22   1.555    550
        537.60   1.346    526
    

in DMSO-d6



KBr disc



nujol mull