-
MS-IW-9235 2-naphthalenemethanol C11H10O (Mass of molecular ion: 158)
Source Temperature: 230 °C Sample Temperature: 150 °C Reservoir, 75 eV
18.0 2.0 28.0 1.7 39.0 2.5 50.0 3.0 51.0 6.2 57.5 1.6 62.0 2.0 63.0 5.7 63.5 1.7 64.0 2.7 69.5 1.3 74.0 3.2 75.0 4.2 76.0 2.4 77.0 6.5 78.0 2.2 78.5 3.3 79.0 3.3 86.0 1.0 87.0 1.6 89.0 1.8 98.0 1.0 101.0 3.0 102.0 3.3 115.0 10.2 116.0 1.2 126.0 5.6 127.0 25.8 128.0 31.0 129.0 100.0 130.0 13.7 131.0 1.0 139.0 5.9 140.0 4.6 141.0 18.0 142.0 6.3 155.0 5.1 156.0 4.1 157.0 16.1 158.0 56.4 159.0 6.8
400 MHz in CDCl3
-
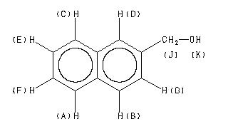
1H NMR 399.65 MHz C11 H10 O 0.039 g : 0.5 ml CDCl3 2-naphthalenemethanol 
Assign. Shift(ppm)
A *1 7.79 B 7.77 C *1 7.76 D 7.713 E *2 7.45 F *2 7.44 G 7.397 J 4.747 K 2.33
Hz ppm Int.3118.77 7.804 141 3116.58 7.799 88 3115.84 7.797 81 3113.89 7.792 153 3112.43 7.788 166 3110.23 7.783 346 3106.45 7.773 165 3102.17 7.763 411 3099.24 7.755 94 3097.05 7.750 153 3094.24 7.743 32 3082.64 7.714 301 3082.15 7.713 301 2983.64 7.466 74 2981.93 7.462 55 2979.13 7.455 391 2976.68 7.449 223 2975.10 7.445 263 2973.63 7.441 248 2972.05 7.437 216 2969.60 7.431 411 2966.92 7.424 37 2965.21 7.420 61 2961.30 7.410 203 2959.72 7.406 191 2952.88 7.389 181 2951.17 7.385 172 1897.09 4.747 1000 930.54 2.329 429
更多供应商






