
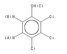
2,3,4-三氯苯酚
产品名称
2,3,4-三氯苯酚
CAS号15950-66-0
分子式C6H3Cl3O
分子量197.45
InChIInChI=1S/C6H3Cl3O/c7-3-1-2-4(10)6(9)5(3)8/h1-2,10H
InChIKeyHSQFVBWFPBKHEB-UHFFFAOYSA-N
SmilesC1(O)=CC=C(Cl)C(Cl)=C1Cl
展开
收起
-
Assign. Shift(ppm)
A 7.274
B 6.915
C 5.62
J(A,B)=9.0HZ
Spectral Code: 1H NMR : 90 MHz in CDCl3
-
ppm Int. Assign.
151.14 622 1
131.13 264 2
128.77 945 3
125.12 428 4
120.30 383 5
114.79 1000 6
Spectral Code: 13C NMR : in CDCl3
-
Spectral Code: IR : KBr disc
2,3,4-三氯苯酚(15950-66-0)核磁图(1HNMR) 相关产品图谱