-
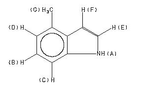
MS-IW-1272 4-methylindoile C9H9N (Mass of molecular ion: 131)
Source Temperature: 230 °C Sample Temperature: 160 °C Reservoir, 75 eV
39.0 1.5 50.0 1.7 51.0 4.5 52.0 2.7 62.0 1.1 63.0 2.3 64.0 1.7 64.5 4.9 65.0 5.6 65.5 4.4 74.0 1.1 75.0 1.6 76.0 1.9 77.0 11.6 78.0 2.2 101.0 1.4 102.0 4.6 103.0 10.5 104.0 2.2 128.0 3.2 129.0 1.7 130.0 100.0 131.0 81.8 132.0 7.9
400 MHz in CDCl3
-
1H NMR 399.65 MHz C9 H9 N 0.05 ml : 0.5 ml CDCl3 4-methylindoile 
Assign. Shift(ppm)
A 7.55 B 7.066 C 6.998 D 6.897 E 6.872 F 6.480 G 2.512 J(A,F)=2.4HZ J(C,F)=1.2HZ J(E,F)=3.2HZ
Hz ppm Int.3014.04 7.542 49 2832.52 7.088 127 2825.44 7.070 175 2824.34 7.068 216 2817.38 7.050 254 2800.29 7.007 240 2799.68 7.006 236 2792.11 6.987 142 2791.50 6.985 139 2760.38 6.907 186 2759.40 6.905 235 2758.42 6.903 167 2753.30 6.890 160 2752.44 6.888 204 2751.46 6.885 148 2750.49 6.883 76 2749.27 6.880 214 2746.58 6.873 259 2746.22 6.872 256 2743.53 6.865 215 2592.90 6.488 173 2591.92 6.486 178 2590.82 6.483 188 2589.72 6.480 276 2588.62 6.478 182 2587.52 6.475 176 2586.55 6.473 161 1004.15 2.513 1000
更多供应商




