图谱信息 供应商 相关产品
网站主页CAS数据库列表 16136-58-6更多图谱1-甲基吲哚-2-甲酸(16136-58-6)红外图谱(IR1)

1-甲基吲哚-2-甲酸

产品名称 1-甲基吲哚-2-甲酸

CAS号16136-58-6

分子式C10H9NO2

分子量175.18

展开


  • Mass

    MS-NW-6694          
    1-methyl-2-indolecarboxylic acid
    C10H9NO2            (Mass of molecular ion:    175)
    

       Source Temperature: 260 °C
       Sample Temperature: 190 °C
       Reservoir, 75 eV
    

          15.0       1.2
          18.0       3.1
          27.0       1.1
          28.0       1.4
          38.0       1.6
          39.0       4.2
          44.0       4.2
          45.0       1.3
          50.0       2.9
          51.0       5.5
          52.0       1.7
          61.0       1.3
          62.0       3.9
          63.0       7.1
          64.0       2.8
          64.5       2.0
          65.0       2.2
          74.0       1.9
          75.0       2.4
          76.0       2.3
          77.0       8.1
          78.0       2.2
          78.5       3.8
          79.0       1.6
          87.0       1.8
          87.5       2.3
          88.0       2.7
          89.0      22.1
          90.0       3.9
          91.0       1.5
         101.0       2.1
         102.0       4.4
         103.0       5.3
         104.0       1.4
         114.0       1.8
         115.0       2.8
         116.0       4.3
         117.0       1.2
         118.0       2.5
         128.0      10.3
         129.0      13.4
         130.0      25.9
         131.0      12.7
         132.0       2.0
         144.0       2.9
         147.0       1.0
         156.0       2.3
         158.0       8.9
         159.0       1.1
         174.0      20.2
         175.0     100.0
         176.0      12.2
         177.0       1.4
    

400 MHz in DMSO-d6


  • 1H NMR 399.65 MHz
    C10 H9 N O2 0.033 g : 0.5 ml DMSO-d6
    1-methyl-2-indolecarboxylic acid
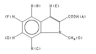
    ChemicalStructure
        Assign.     Shift(ppm)
    A 13.0 B 7.688 C 7.557 D 7.340 E 7.257 F 7.137 G 4.042 J(B,D)=1.2HZ J(B,F)=8.1HZ J(C,D)=8.6HZ J(C,E)=0.9HZ J(C,F)=0.9HZ J(D,F)=7.0HZ

         Hz     ppm     Int.
    

       3077.93   7.702     62
       3077.01   7.700    106
       3076.10   7.697     90
       3069.87   7.682     69
       3068.95   7.680    113
       3068.04   7.677     95
       3025.73   7.571     84
       3024.81   7.569     96
       3017.12   7.550    103
       3016.39   7.548    116
       2941.84   7.362     56
       2940.55   7.358     69
       2934.88   7.344     72
       2933.41   7.340    100
       2932.13   7.337     70
       2926.27   7.323     61
       2925.17   7.320     67
       2900.99   7.259    233
       2900.08   7.257    267
       2860.14   7.157     67
       2859.23   7.155     82
       2853.18   7.140     66
       2852.09   7.137    120
       2851.17   7.135     96
       2845.13   7.120     59
       2844.21   7.117     67
       1615.53   4.043   1000
    

KBr disc



nujol mull