图谱信息 供应商 相关产品
网站主页CAS数据库列表 1617-90-9更多图谱长春胺(1617-90-9)核磁图(13CNMR)

长春胺

产品名称 长春胺

CAS号1617-90-9

分子式C21H26N2O3

分子量354.44

展开


  • Mass

    MS-IW-1760          
    vincamine
    C21H26N2O3          (Mass of molecular ion:    354)
    

       Source Temperature: 120 °C
       Sample Temperature: 110 °C
       Direct, 75 eV
    

          41.0       1.5
          42.0       1.4
          44.0       1.1
          55.0       1.3
          70.0       1.0
          77.0       1.0
          92.0       1.3
         105.0       1.3
         110.0       1.1
         111.0       1.0
         115.0       1.7
         118.0       1.1
         119.0       1.5
         124.0       1.4
         126.0       1.0
         130.0       1.6
         133.0       5.8
         138.0       1.8
         143.0       2.2
         144.0       3.2
         147.0       5.3
         152.0       1.4
         154.0       1.4
         156.0       1.6
         157.0       1.5
         167.0       4.9
         168.0       6.4
         169.0       2.9
         170.0       4.1
         171.0       1.6
         177.0       2.1
         180.0       4.1
         181.0       2.0
         182.0       2.4
         183.0       1.3
         184.0       1.6
         185.0       2.4
         193.0       1.3
         194.0       1.9
         195.0       1.5
         196.0       3.4
         197.0       6.1
         198.0       2.3
         206.0       1.2
         207.0       1.1
         208.0       1.8
         209.0       4.4
         210.0       2.3
         211.0       1.1
         221.0       1.0
         222.0       2.1
         223.0       3.5
         224.0      12.6
         225.0       3.3
         226.0       1.1
         235.0       1.2
         236.0       2.1
         237.0       8.2
         238.0       4.0
         248.0       1.8
         249.0       1.0
         251.0       8.3
         252.0      55.0
         253.0      14.8
         254.0       1.9
         263.0       1.3
         264.0       3.5
         265.0       6.1
         266.0      10.0
         267.0      30.7
         268.0       6.3
         278.0       1.4
         284.0       9.3
         285.0       1.8
         293.0       4.3
         294.0       6.2
         295.0      26.3
         296.0       5.8
         307.0       8.9
         308.0       2.7
         311.0       1.1
         325.0       3.1
         336.0       1.7
         337.0       1.1
         339.0       4.3
         340.0       1.0
         353.0      28.4
         354.0     100.0
         355.0      23.3
         356.0       3.2
    

400 MHz in CDCl3


  • 1H NMR 399.65 MHz
    C21 H26 N2 O3 0.038 g : 0.5 ml CDCl3
    vincamine
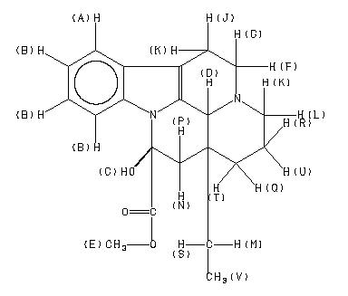
    ChemicalStructure
        Assign.     Shift(ppm)
    A 7.479 B 7.11 C 4.67 D 3.91 E 3.809 F *1 3.32 G *1 3.28 J *2 2.980 K *2 2.57 L *2 2.50 M *3 2.233 N *4 2.211 P *4 2.120 Q *5 1.71 R *6 1.68 S *3 1.48 T *5 1.44 U *6 1.36 V 0.902 ASSIGNED BY C-H AND H-H COSY

         Hz     ppm     Int.
    

       2994.14   7.492     48
       2993.29   7.490     47
       2991.09   7.485     42
       2990.11   7.482     46
       2988.28   7.478     52
       2985.23   7.470     58
       2984.50   7.468     51
       2850.59   7.133    106
       2847.17   7.125    111
       2844.24   7.117    140
       2841.19   7.110    272
       2837.89   7.101    158
       2835.08   7.094     52
       2834.23   7.092     38
       1867.80   4.674     47
       1563.60   3.913     84
       1522.34   3.810   1000
       1327.51   3.322     54
       1326.54   3.320     55
       1320.56   3.305     81
       1316.16   3.294     42
       1310.42   3.279     42
       1304.93   3.266     40
       1031.86   2.582     50
       1027.71   2.572     41
       1025.39   2.566     32
       1021.97   2.558     32
       1021.00   2.555     30
       1020.02   2.553     31
       1011.35   2.531     37
       1008.30   2.523     52
       1006.47   2.519     36
       1004.39   2.514     33
        999.63   2.502     31
        996.83   2.495     37
        904.66   2.264     36
        896.97   2.245     44
        892.82   2.235     81
        890.26   2.228     48
        882.57   2.209     44
        878.54   2.199    146
        852.29   2.133    151
        838.01   2.097     82
        684.57   1.713     35
        682.01   1.707     71
        677.86   1.697     31
        670.78   1.679     41
        668.58   1.673     44
        593.63   1.486     45
        591.19   1.480     53
        583.50   1.461     62
        576.54   1.443     43
        569.09   1.424     32
        541.99   1.357     35
        539.79   1.351     38
        368.04   0.921    170
        360.47   0.902    351
        352.91   0.884    152
    

in CDCl3



KBr disc



nujol mull