-
MS-IW-9716 allyl phenyl sulfone C9H10O2S (Mass of molecular ion: 182)
Source Temperature: 220 °C Sample Temperature: 150 °C Reservoir, 75 eV
27.0 2.4 28.0 1.6 38.0 2.1 39.0 21.1 40.0 2.3 41.0 85.5 42.0 2.9 45.0 1.1 50.0 7.3 51.0 27.3 52.0 2.3 53.0 1.0 64.0 1.6 65.0 2.2 66.0 1.1 74.0 2.0 75.0 1.5 76.0 1.9 77.0 100.0 78.0 16.1 79.0 1.1 91.0 8.1 92.0 1.2 94.0 1.4 97.0 2.8 103.0 1.4 109.0 1.0 110.0 1.8 115.0 5.0 116.0 1.9 117.0 29.1 118.0 21.8 119.0 2.1 125.0 8.0 126.0 2.7 134.0 4.1 135.0 1.3 141.0 43.2 142.0 3.4 143.0 2.3
400 MHz in CDCl3
-
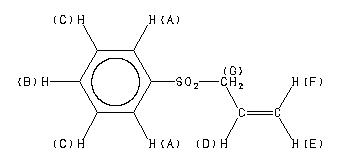
1H NMR 399.65 MHz C9 H10 O2 S 0.05 ml : 0.5 ml CDCl3 allyl phenyl sulfone 
Assign. Shift(ppm)
A 7.878 B 7.650 C 7.560 D 5.782 E 5.321 F 5.158 G 3.835
Hz ppm Int.3154.79 7.894 155 3152.83 7.889 756 3151.73 7.887 797 3150.27 7.883 410 3146.61 7.874 301 3144.65 7.869 1000 3143.19 7.865 809 3067.75 7.677 126 3066.41 7.673 219 3065.19 7.670 134 3061.16 7.660 176 3059.08 7.655 511 3057.01 7.650 192 3052.86 7.639 271 3051.64 7.636 436 3050.29 7.633 238 3029.54 7.581 192 3027.59 7.576 699 3026.12 7.572 343 3021.12 7.560 614 3019.78 7.557 959 3018.43 7.553 322 3014.16 7.543 217 3012.45 7.538 422 3011.60 7.536 305 2332.64 5.837 123 2325.20 5.819 258 2322.51 5.812 145 2317.87 5.800 142 2315.06 5.793 329 2308.11 5.776 361 2305.42 5.769 164 2300.78 5.757 155 2297.97 5.750 317 2290.65 5.732 156 2131.84 5.335 500 2130.86 5.332 477 2124.76 5.317 43 2121.70 5.309 443 2120.73 5.307 427 2070.43 5.181 221 2069.21 5.178 504 2067.99 5.175 488 2066.77 5.172 200 2053.34 5.138 191 2052.12 5.135 440 2050.90 5.132 434 2049.68 5.129 178 1537.23 3.847 740 1536.38 3.845 910 1535.28 3.842 649 1529.79 3.828 696 1528.93 3.826 879 1527.83 3.823 641
更多供应商





