图谱信息 供应商 相关产品
网站主页CAS数据库列表 1626-24-0更多图谱三苯基氯化锗(1626-24-0)质谱(MS)

三苯基氯化锗

产品名称 三苯基氯化锗

CAS号1626-24-0

分子式C18H15ClGe

分子量339.4

展开


  • Mass

    MS-NW-8005          
    chlorotriphenylgermane
    C18H15ClGe          (Mass of molecular ion:    340)
    

       Source Temperature: 160 °C
       Sample Temperature: 100 °C
       Direct, 75 eV
    

          18.0       2.2
          27.0       1.0
          50.0       2.5
          51.0      14.9
          52.0       1.1
          77.0      22.4
          78.0       2.1
          95.0       1.0
          97.0       1.3
          99.0       1.8
         105.0       5.6
         107.0       9.1
         108.0       2.1
         109.0      11.8
         111.0       5.2
         121.0       1.0
         123.0       1.3
         125.0       1.4
         147.0       7.5
         149.0       9.7
         150.0       3.8
         151.0      12.5
         152.0       4.9
         153.0       3.5
         154.0     100.0
         155.0      13.1
         223.0       1.2
         224.0       1.3
         225.0       1.8
         226.0       2.1
         227.0       2.0
         228.0       1.0
         259.0      19.6
         260.0       2.8
         261.0      31.8
         262.0      11.5
         263.0      43.3
         264.0       8.0
         265.0      18.6
         266.0       2.5
         267.0       2.5
         301.0       1.6
         303.0       2.0
         304.0       1.0
         305.0       2.4
         336.0       6.4
         337.0       1.4
         338.0      10.4
         339.0       4.6
         340.0      14.0
         341.0       3.6
         342.0       6.4
         343.0       1.2
    

400 MHz in CDCl3


  • 1H NMR 399.65 MHz
    C18 H15 Cl Ge 0.030 g : 0.5 ml CDCl3
    chlorotriphenylgermane
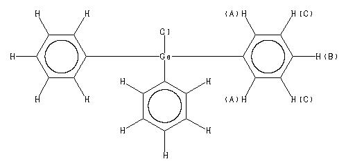
    ChemicalStructure
        Assign.     Shift(ppm)
    A 7.637 B 7.46 C 7.43

         Hz     ppm     Int.
    

       3058.72   7.654     95
       3056.64   7.649    627
       3055.05   7.645    807
       3053.83   7.642    403
       3051.03   7.635    297
       3049.07   7.630    771
       3047.12   7.625    834
       2995.61   7.496     49
       2994.02   7.492    102
       2992.43   7.488     79
       2991.09   7.485     67
       2986.94   7.474    311
       2986.21   7.473    336
       2983.52   7.466    195
       2981.69   7.461    420
       2979.98   7.457    808
       2978.03   7.452   1000
       2976.44   7.448    481
       2973.27   7.440    315
       2972.17   7.437    474
       2970.83   7.434    715
       2969.24   7.430    247
       2965.94   7.422    150
       2964.60   7.418    264
       2963.62   7.416    145
       2962.04   7.412    180
    

in CDCl3



KBr disc



nujol mull