-
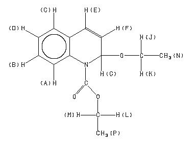
MS-NW-6177 ethyl 2-ethoxy-1,2-dihydro-1-quinolinecarboxylate C14H17NO3 (Mass of molecular ion: 247)
Source Temperature: 120 °C Sample Temperature: 90 °C Reservoir, 75 eV
15.0 2.1 17.0 4.9 18.0 23.2 19.0 1.2 26.0 2.0 27.0 12.1 28.0 5.8 29.0 46.6 30.0 1.1 31.0 26.0 38.0 1.4 39.0 3.0 41.0 1.1 43.0 1.8 44.0 1.2 45.0 37.7 46.0 1.5 47.0 1.0 50.0 5.6 51.0 10.0 52.0 2.5 59.0 1.7 62.0 1.5 63.0 9.3 64.0 1.6 64.5 3.1 74.0 3.2 75.0 6.5 76.0 7.1 77.0 4.9 78.0 2.4 89.0 1.8 90.0 1.7 91.0 18.1 101.0 5.3 102.0 19.1 103.0 7.4 117.0 1.4 118.0 1.5 127.0 1.0 128.0 17.6 129.0 100.0 130.0 59.4 131.0 5.8 143.0 1.8 146.0 1.9 158.0 17.9 159.0 2.4 174.0 1.5 202.0 41.8 203.0 7.2 247.0 8.1 248.0 1.3
400 MHz in CDCl3
400 MHz in DMSO-d6
-
1H NMR 399.65 MHz C14 H17 N O3 0.041 g : 0.5 ml CDCl3 ethyl 2-ethoxy-1,2-dihydro-1-quinolinecarboxylate 
Assign. Shift(ppm)
A 7.681 B 7.269 C 7.204 D 7.107 E 6.730 F 6.15 G 6.140 J *1 4.340 K *1 4.284 L *2 3.658 M *2 3.598 N 1.340 P 1.127 ASSIGNED BY C-H COSY
Hz ppm Int.3074.10 7.692 104 3065.92 7.672 115 2913.94 7.292 79 2912.23 7.287 86 2906.62 7.273 107 2904.91 7.269 130 2904.05 7.267 95 2898.32 7.253 90 2896.73 7.249 97 2884.64 7.218 110 2882.93 7.214 106 2877.08 7.200 170 2875.37 7.195 139 2847.29 7.125 135 2846.19 7.122 134 2839.84 7.106 175 2838.75 7.104 171 2832.40 7.088 80 2831.30 7.085 75 2697.51 6.750 41 2694.46 6.743 104 2691.89 6.736 75 2688.11 6.727 67 2685.42 6.720 111 2682.37 6.712 43 2465.94 6.171 72 2460.45 6.157 243 2456.54 6.147 297 2454.10 6.141 527 2451.05 6.133 90 1744.38 4.365 73 1740.84 4.356 58 1737.30 4.348 75 1733.76 4.339 173 1730.10 4.330 31 1726.56 4.321 188 1720.21 4.305 171 1713.13 4.287 160 1709.59 4.278 69 1706.05 4.269 55 1702.51 4.261 67 1471.19 3.682 86 1468.63 3.675 56 1464.11 3.664 91 1461.55 3.658 172 1457.03 3.646 35 1454.47 3.640 174 1452.27 3.634 54 1447.39 3.622 62 1445.19 3.617 158 1442.63 3.610 32 1438.11 3.599 161 1435.55 3.593 82 1431.15 3.582 55 1428.47 3.575 78 542.72 1.358 519 541.14 1.355 57 535.64 1.341 1000 528.44 1.323 499 457.52 1.145 500 450.56 1.128 963 443.48 1.110 493
-
1H NMR 399.65 MHz C14 H17 N O3 0.041 g : 0.5 ml DMSO-d6 ethyl 2-ethoxy-1,2-dihydro-1-quinolinecarboxylate 
Assign. Shift(ppm)
A 7.655 B 7.30 C 7.29 D 7.133 E 6.782 F 6.210 G 6.038 J 4.24 K 3.54 L 1.259 M 1.020
Hz ppm Int.3066.77 7.674 132 3066.16 7.673 127 3058.47 7.653 157 2920.90 7.309 177 2919.19 7.305 71 2913.21 7.290 252 2911.13 7.285 110 2905.15 7.270 112 2903.56 7.266 87 2858.15 7.152 116 2857.06 7.149 129 2850.71 7.134 169 2849.61 7.131 201 2843.26 7.115 83 2842.04 7.112 86 2715.58 6.795 210 2706.18 6.772 229 2489.26 6.229 140 2483.89 6.216 164 2479.86 6.206 132 2474.49 6.192 156 2415.77 6.045 351 2410.40 6.032 299 1710.21 4.280 38 1706.79 4.271 63 1702.88 4.261 86 1699.58 4.253 206 1695.68 4.243 212 1692.50 4.235 222 1688.60 4.226 204 1685.30 4.217 98 1681.52 4.208 69 1677.86 4.199 43 1432.62 3.585 66 1429.93 3.578 56 1425.54 3.567 72 1422.85 3.561 186 1420.78 3.556 66 1418.46 3.550 34 1415.77 3.543 192 1413.70 3.538 192 1411.01 3.531 35 1408.81 3.526 67 1406.62 3.520 188 1403.93 3.513 75 1399.66 3.503 61 1396.97 3.496 70 510.25 1.277 484 503.17 1.260 1000 496.09 1.242 471 414.92 1.039 462 407.84 1.021 945 400.88 1.004 449
更多供应商








