-
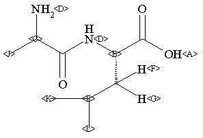
MS-NW-1975 DL-alanyl-L-leucine C9H18N2O3 (Mass of molecular ion: 202)
Source Temperature: 190 °C Sample Temperature: 180 °C Direct, 75 eV
15.0 3.2 17.0 1.4 18.0 7.2 26.0 1.2 27.0 9.4 28.0 13.8 29.0 4.6 30.0 9.3 39.0 4.8 40.0 1.8 41.0 12.0 42.0 10.2 43.0 19.2 44.0 100.0 45.0 3.0 53.0 1.8 54.0 2.0 55.0 9.0 56.0 4.9 57.0 2.7 68.0 1.4 69.0 2.3 70.0 15.6 71.0 4.0 72.0 1.1 84.0 1.5 85.0 1.8 86.0 23.4 87.0 1.5 96.0 1.2 97.0 1.1 98.0 7.1 99.0 12.1 100.0 1.2 113.0 8.0 124.0 1.9 127.0 2.4 128.0 78.5 129.0 5.1 141.0 8.9 169.0 1.2
400 MHz in DMSO-d6
-
1H NMR 399.65 MHz C9 H18 N2 O3 0.021 g : 0.5 ml DMSO-d6 DL-alanyl-L-leucine 
Assign. Shift(ppm)
A 8.01 B *1 3.86 C *1 3.76 D 3.34 E 1.827 F *2 1.62 G *2 1.48 J 1.281 K *3 0.887 L *3 0.868
Hz ppm Int.3203.58 8.016 121 1546.63 3.870 57 1539.92 3.854 59 1511.54 3.783 42 1505.89 3.769 65 1500.85 3.756 46 1354.22 3.389 31 1335.60 3.342 1000 737.92 1.847 35 730.74 1.829 46 724.18 1.813 42 659.48 1.651 31 650.94 1.629 57 645.75 1.616 45 642.85 1.609 41 637.97 1.597 34 637.51 1.596 34 603.79 1.511 39 596.31 1.493 51 589.90 1.477 57 582.58 1.458 34 515.59 1.291 323 508.73 1.273 327 358.58 0.898 349 350.95 0.879 529 343.78 0.861 357
更多供应商




