图谱信息 供应商 相关产品
网站主页CAS数据库列表 1655-45-4更多图谱2,6-萘二磺酸钠(1655-45-4)红外图谱(IR2)

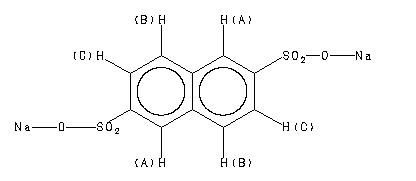
2,6-萘二磺酸钠

产品名称 2,6-萘二磺酸钠

CAS号1655-45-4

分子式C10H9NaO6S2

分子量312.29

展开

90 MHz in D2O


  • 1H NMR 89.56 MHz
    C10 H6 Na2 O6 S2 saturated in D2O
    disodium 2,6-naphthalenedisulfonate
    ChemicalStructure
        Assign.     Shift(ppm)
    A 8.28 B 7.99 C 7.88

         Hz     ppm     Int.
    

        742.31   8.289    911
        722.25   8.065    262
        713.44   7.967   1000
        708.63   7.913    941
        707.19   7.897    685
        700.00   7.816    239
        698.56   7.800    191
    

KBr disc



nujol mull