400 MHz in DMSO-d6
-
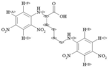
1H NMR 399.65 MHz C18 H18 N6 O10 0.033 g : 0.5 ml DMSO-d6 N(2),N(6)-bis(2,4-dinitrophenyl)-L-lysine 
Assign. Shift(ppm)
A 8.936 B 8.82 C 8.80 D 8.763 E *1 8.229 F *1 8.149 G *2 7.21 J *2 7.16 K 4.713 L 3.467 M 2.00 N 1.66 P 1.44
Hz ppm Int.3575.29 8.947 306 3571.62 8.937 81 3567.96 8.928 323 3527.37 8.827 158 3526.92 8.826 158 3524.17 8.819 854 3521.58 8.812 1000 3516.39 8.799 176 3508.61 8.780 32 3504.03 8.768 734 3501.28 8.761 756 3496.70 8.750 38 3496.40 8.749 38 3295.14 8.246 263 3292.39 8.239 262 3285.52 8.221 286 3282.78 8.215 282 3263.40 8.166 261 3260.65 8.159 261 3253.78 8.142 283 3251.04 8.135 280 2886.66 7.223 451 2882.39 7.213 43 2877.04 7.199 440 2868.96 7.179 491 2863.16 7.165 42 2859.19 7.155 467 1893.01 4.737 85 1887.21 4.723 203 1880.34 4.705 206 1874.85 4.692 96 1395.87 3.493 180 1389.16 3.476 388 1382.75 3.460 398 1376.19 3.444 197
更多供应商



