图谱信息 供应商 相关产品
网站主页CAS数据库列表 16555-77-4更多图谱Α-羟基马尿酸(16555-77-4)红外图谱(IR2)

Α-羟基马尿酸

产品名称 Α-羟基马尿酸

CAS号16555-77-4

分子式C9H9NO4

分子量195.17

展开


  • Mass

    MS-NW-7248          
    alpha-hydroxyhippuric acid
    C9H9NO4             (Mass of molecular ion:    195)
    

       Source Temperature: 190 °C
       Sample Temperature: 130 °C
       Direct, 75 eV
    

          17.0       1.3
          18.0       5.6
          27.0       1.8
          28.0       4.6
          29.0      19.8
          30.0      12.4
          37.0       1.6
          38.0       2.4
          39.0       2.9
          44.0       6.6
          45.0      11.3
          46.0       4.8
          46.5       2.5
          49.0       1.0
          50.0      11.7
          51.0      26.1
          52.0       3.9
          56.0       1.4
          63.0       1.0
          65.0       1.3
          73.0       1.1
          74.0       5.0
          75.0       3.0
          76.0       4.6
          77.0      78.2
          78.0       9.9
         104.0       2.2
         105.0     100.0
         106.0      13.8
         107.0       1.0
         121.0      57.9
         122.0       5.0
         149.0       7.4
         150.0       3.7
    

400 MHz in DMSO-d6


  • 1H NMR 399.65 MHz
    C9 H9 N O4 0.048 g : 0.5 ml DMSO-d6
    alpha-hydroxyhippuric acid
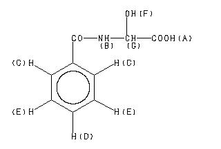
    ChemicalStructure
        Assign.     Shift(ppm)
    A *1 13. B 9.291 C 7.926 D 7.555 E 7.484 F *1 6. G 5.64 J(B,G)=8.1HZ

         Hz     ppm     Int.
    

       3717.29   9.302    391
       3709.23   9.282    403
       3172.61   7.939    845
       3167.48   7.926    253
       3165.53   7.921    939
       3164.06   7.918    780
       3154.05   7.893     32
       3030.27   7.583     83
       3029.05   7.580    165
       3027.59   7.576    120
       3023.93   7.567    119
       3021.48   7.561    492
       3019.53   7.556    188
       3015.63   7.546    246
       3014.40   7.543    437
       3012.94   7.539    278
       2998.78   7.504    714
       2992.68   7.489    516
       2991.21   7.485   1000
       2985.84   7.472    180
       2984.13   7.467    415
       2983.15   7.465    324
       2259.28   5.654    620
       2251.22   5.633    624
    

DMSO-d6



KBr disc



nujol mull



4880 A,200 M,powder