图谱信息 供应商 相关产品
网站主页CAS数据库列表 1658-42-0更多图谱2-吡啶乙酸甲酯(1658-42-0)红外图谱(IR1)

2-吡啶乙酸甲酯

产品名称 2-吡啶乙酸甲酯

CAS号1658-42-0

分子式C8H9NO2

分子量151.16

展开


  • Mass

    MS-NW-8870          
    methyl 2-pyridineacetate
    C8H9NO2             (Mass of molecular ion:    151)
    

       Source Temperature: 260 °C
       Sample Temperature: 150 °C
       Reservoir, 75 eV
    

          15.0      10.7
          26.0       1.4
          27.0       2.0
          28.0       2.1
          29.0       1.1
          37.0       1.1
          38.0       3.7
          39.0      21.1
          40.0       2.4
          41.0       2.6
          42.0       1.6
          50.0       3.5
          51.0       7.2
          52.0       5.0
          53.0       1.2
          59.0      18.0
          62.0       1.6
          63.0       6.5
          64.0       7.2
          65.0      48.9
          66.0       8.8
          67.0       1.2
          77.0       1.2
          78.0       3.6
          79.0       9.1
          80.0       1.9
          91.0       5.1
          92.0     100.0
          93.0      68.9
          94.0       4.8
         106.0      12.0
         107.0       2.5
         108.0       5.1
         109.0       3.8
         119.0      16.5
         120.0      19.0
         121.0       1.5
         136.0       9.6
         151.0      24.3
         152.0       3.1
    

90 MHz in CDCl3


  • 1H NMR 89.56 MHz
    C8 H9 N O2 0.04 ml : 0.5 ml CDCl3
    methyl 2-pyridineacetate
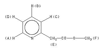
    ChemicalStructure
        Assign.     Shift(ppm)
    A 8.549 B 7.636 C 7.29 D 7.20 E 3.856 F 3.716 J(A,B)=1.9HZ. J(A,D)=4.9HZ. J(B,C)=J(B,D)=7.6HZ. J(C,D)=1.2HZ.

         Hz     ppm     Int.
    

        769.94   8.597     31
        768.25   8.579     40
        765.13   8.544     37
        764.31   8.535     42
        764.06   8.532     42
        763.31   8.523     44
        686.56   7.666     57
        684.69   7.646     62
        678.94   7.581     60
        677.06   7.560     58
        656.31   7.329     90
        649.31   7.251     82
        648.44   7.241     81
        644.50   7.197     44
        643.13   7.181     37
        641.94   7.168     35
        345.38   3.857    449
        332.81   3.717   1000
    

in CDCl3



liquid film