图谱信息 供应商 相关产品
网站主页CAS数据库列表 16642-92-5更多图谱4-三氟甲基肉桂酸(16642-92-5)核磁图(1HNMR)

4-三氟甲基肉桂酸

产品名称 4-三氟甲基肉桂酸

CAS号16642-92-5

分子式C10H7F3O2

分子量216.16

展开


  • Mass

    MS-IW-0202          
    trans-4-(trifluoromethyl)cinnamic acid
    C10H7F3O2           (Mass of molecular ion:    216)
    

       Source Temperature: 170 °C
       Sample Temperature: 140 °C
       Direct, 75 eV
    

          18.0       2.1
          28.0       1.3
          39.0       1.3
          42.0       1.0
          45.0       1.6
          50.0       3.8
          51.0       5.0
          54.0       1.1
          55.0       1.1
          57.0       1.1
          60.0       1.2
          60.5       1.1
          62.0       1.2
          63.0       2.3
          69.0       4.2
          70.0       1.2
          71.0       1.5
          74.0       2.8
          74.5       2.5
          75.0       6.8
          76.0       4.0
          77.0       1.7
          90.0       1.1
          91.0       6.6
          95.0       3.7
          98.0       1.0
          99.0       1.8
         101.0       3.5
         102.0       8.5
         103.0       4.5
         109.0       1.6
         119.0       7.3
         120.0       3.5
         125.0       2.2
         127.0       2.2
         145.0       6.0
         146.0       1.3
         147.0      27.0
         148.0       2.8
         151.0      30.9
         152.0       3.7
         159.0       7.7
         160.0       1.0
         169.0       4.8
         170.0      12.1
         171.0      33.8
         172.0       3.7
         173.0       2.0
         175.0       2.0
         187.0       1.5
         188.0       3.3
         197.0       8.6
         198.0       7.6
         199.0      25.1
         200.0       2.8
         215.0      81.8
         216.0     100.0
         217.0      10.9
         218.0       1.0
    

400 MHz in DMSO-d6


  • 1H NMR 399.65 MHz
    C10 H7 F3 O2 0.040 g : 0.5 ml DMSO-d6
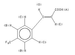
    trans-4-(trifluoromethyl)cinnamic acid
    ChemicalStructure
        Assign.     Shift(ppm)
    A 12.7 B 7.935 C 7.773 D 7.694 E 6.713 J(D,E)=16.1HZ

         Hz     ppm     Int.
    

       5059.79  12.661     80
       3190.03   7.983     31
       3189.66   7.982     32
       3189.30   7.981     31
       3188.93   7.980     30
       3185.45   7.971     31
       3184.72   7.969     34
       3184.35   7.968     36
       3175.56   7.946    723
       3167.50   7.926    926
       3159.44   7.906     35
       3159.07   7.905     32
       3157.97   7.902     30
       3157.61   7.901     30
       3157.24   7.901     30
       3156.69   7.899     30
       3156.14   7.898     32
       3155.23   7.895     34
       3154.68   7.894     35
       3125.37   7.821     32
       3124.45   7.818     37
       3118.04   7.802     42
       3110.53   7.784   1000
       3102.11   7.763    803
       3094.23   7.743     38
       3093.87   7.742     37
       3093.50   7.741     36
       3093.13   7.740     38
       3092.58   7.739     37
       3091.67   7.736     39
       3090.75   7.734     43
       3090.39   7.733     44
       3089.65   7.731     46
       3089.29   7.730     45
       3088.19   7.728     41
       3087.45   7.726     39
       3083.06   7.715    639
       3066.94   7.675    683
       2690.90   6.734    836
       2674.78   6.693    766
    

KBr disc



nujol mull



4880 A,200 M,powder