图谱信息 供应商 相关产品
网站主页CAS数据库列表 1674-37-9更多图谱辛基酰苯(1674-37-9)Raman光谱

辛基酰苯

产品名称 辛基酰苯

CAS号1674-37-9

分子式C14H20O

分子量204.31

展开



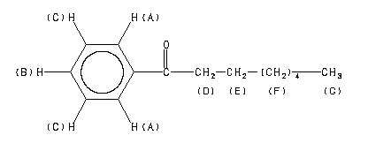
  •     Assign.     Shift(ppm)
    A 7.95 B 7.52 C 7.47 D 2.95 E 1.73 F 1.56 to 1.11 G 0.89
    Spectral Code: 1H NMR : 90 MHz in CDCl3



  •        ppm   Int.  Assign.
    200.29 255 1 137.22 234 2 132.81 435 3 128.55 1000 4 * 128.07 870 5 * 38.59 500 6 31.78 375 7 29.39 478 8 # 29.24 500 9 # 24.42 402 10 22.67 380 11 14.09 359 12
    Spectral Code: 13C NMR : in CDCl3


  • Spectral Code: IR : liquid film


  • Spectral Code: Raman : 4880 A,150M,liquid