图谱信息 供应商 相关产品
网站主页CAS数据库列表 16819-79-7更多图谱乙基苯丙酮(16819-79-7)红外图谱(IR1)

乙基苯丙酮

产品名称 乙基苯丙酮

CAS号16819-79-7

分子式C11H14O

分子量162.23

展开


  • Mass

    MS-IW-2166          
    2'-ethylpropiophenone
    C11H14O             (Mass of molecular ion:    162)
    

       Source Temperature: 220 °C
       Sample Temperature: 160 °C
       Reservoir, 75 eV
    

          27.0       2.8
          29.0       3.1
          39.0       2.1
          50.0       1.2
          51.0       3.6
          55.0       2.1
          57.0       1.7
          63.0       1.9
          65.0       1.4
          77.0      11.1
          78.0       2.5
          79.0       9.5
          89.0       2.0
          90.0       1.3
          91.0       3.8
         102.0       1.0
         103.0       6.7
         104.0       2.2
         105.0      20.8
         106.0       1.9
         115.0       3.7
         128.0       1.0
         133.0     100.0
         134.0      10.0
         162.0      20.2
         163.0       2.4
    

400 MHz in CDCl3


  • 1H NMR 399.65 MHz
    C11 H14 O 0.05 ml : 0.5 ml CDCl3
    2'-ethylpropiophenone
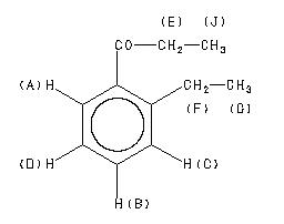
    ChemicalStructure
        Assign.     Shift(ppm)
    A 7.511 B 7.337 C 7.239 D 7.200 E 2.859 F 2.806 G 1.200 J 1.168 G AND J WERE CONFIRMED BY H-H COSY.

         Hz     ppm     Int.
    

       3006.84   7.524    155
       3005.49   7.521    169
       2999.15   7.505    174
       2997.80   7.502    190
       2941.89   7.362     76
       2940.43   7.358     79
       2934.20   7.342    172
       2932.86   7.339    179
       2926.76   7.324    140
       2925.42   7.320    139
       2896.00   7.247    213
       2895.51   7.246    213
       2889.04   7.229    142
       2888.31   7.228    149
       2887.82   7.226    146
       2885.13   7.220    137
       2883.79   7.216    118
       2877.56   7.201    190
       2876.22   7.197    180
       2870.12   7.182     89
       2868.90   7.179     85
       1154.05   2.888    189
       1146.73   2.870    533
       1139.40   2.851    558
       1132.08   2.833    272
       1123.90   2.813    388
       1116.46   2.794    402
       1109.01   2.775    150
        492.07   1.232     30
        487.30   1.220    537
        484.86   1.214     50
        479.86   1.201    918
        477.54   1.195     82
        474.37   1.187    605
        472.29   1.182    593
        469.97   1.176     82
        467.04   1.169   1000
        462.28   1.157     52
        459.84   1.151    608
        457.52   1.145     53
        455.32   1.140     30
    

in CDCl3



liquid film