图谱信息 供应商 相关产品
网站主页CAS数据库列表 1684-40-8更多图谱四氢氨基吖啶(1684-40-8)红外图谱(IR1)

四氢氨基吖啶

产品名称 四氢氨基吖啶

CAS号1684-40-8

分子式C13H15ClN2

分子量234.72


  • Mass

    MS-NW-7584          
    1,2,3,4-tetrahydro-9-acridinamine hydrochloride
    C13H14N2 HCl (H2O)  (Mass of molecular ion:    198)
    

       Source Temperature: 160 °C
       Sample Temperature: 130 °C
       Direct, 75 eV
    

          27.0       1.4
          28.0       1.2
          35.0       1.8
          36.0       6.0
          38.0       2.1
          39.0       2.5
          41.0       1.2
          50.0       1.5
          51.0       3.1
          52.0       2.1
          63.0       2.0
          64.0       1.0
          65.0       1.8
          75.0       2.0
          76.0       3.1
          77.0       5.7
          78.0       1.7
          79.0       1.5
          83.5       1.0
          89.0       1.6
          90.0       1.5
          91.0       5.8
          91.5       2.1
          97.5       2.0
          98.0       2.5
          99.0       2.6
         101.0       1.5
         102.0       4.5
         103.0       2.9
         104.0       1.5
         115.0       3.3
         116.0       2.4
         117.0       1.3
         127.0       1.8
         128.0       3.3
         129.0       3.7
         130.0       3.0
         140.0       1.8
         142.0       1.2
         143.0       1.8
         144.0       2.8
         152.0       1.4
         153.0       1.0
         154.0       1.8
         155.0       3.0
         158.0       1.1
         166.0       1.0
         167.0       2.4
         168.0       2.3
         169.0      11.0
         170.0      13.1
         171.0       3.0
         172.0       1.1
         180.0       5.5
         181.0       6.4
         182.0      13.9
         183.0       7.9
         184.0       1.0
         195.0       7.3
         196.0       3.0
         197.0      62.5
         198.0     100.0
         199.0      14.4
         200.0       1.2
    

400 MHz in DMSO-d6


  • 1H NMR 399.65 MHz
    C13 H14 N2 0.039 g : 0.5 ml DMSO-d6
    1,2,3,4-tetrahydro-9-acridinamine hydrochloride
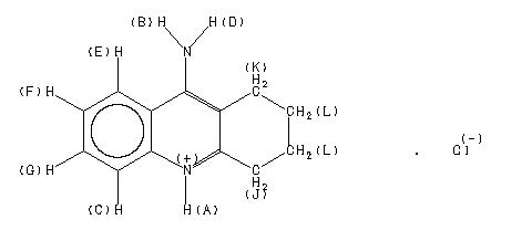
    ChemicalStructure
        Assign.     Shift(ppm)
    A 14.11 B *1 8.99 C 8.573 D *1 8.09 E 7.971 F 7.837 G 7.557 J 3.005 K 2.542 L 1.852 SIGNAL K OVERLAPPED BY THE SOLVENT SIGNAL.

         Hz     ppm     Int.
    

       5638.48  14.109    622
       3595.66   8.998     91
       3430.48   8.584    537
       3422.15   8.563    558
       3231.97   8.088     91
       3191.37   7.986    534
       3190.73   7.984    558
       3182.82   7.965    738
       3182.18   7.963    729
       3139.87   7.857    350
       3139.02   7.855    369
       3133.04   7.840    447
       3131.97   7.837    557
       3124.70   7.819    309
       3123.63   7.816    313
       3028.54   7.578    335
       3027.69   7.576    361
       3024.91   7.569     69
       3020.42   7.558    545
       3019.14   7.555    412
       3013.16   7.540    304
       3012.09   7.537    306
       1206.46   3.019    384
       1201.12   3.006    767
       1016.28   2.543    775
       1012.22   2.533    382
       1010.51   2.529    405
        742.98   1.860   1000
        740.20   1.853    947
        737.85   1.847    993
        726.95   1.819    188
    

in DMSO-d6



KBr disc



nujol mull