图谱信息 供应商 相关产品
网站主页CAS数据库列表 16851-56-2更多图谱吲哚啉-2-羧酸(16851-56-2)质谱(MS)

吲哚啉-2-羧酸

产品名称 吲哚啉-2-羧酸

CAS号16851-56-2

分子式C9H9NO2

分子量163.17

展开


  • Mass

    MS-NW-9465          
    DL-2-indolinecarboxylic acid
    C9H9NO2             (Mass of molecular ion:    163)
    

       Source Temperature: 180 °C
       Sample Temperature: 110 °C
       Direct, 75 eV
    

          18.0       2.4
          39.0       2.1
          44.0       1.5
          51.0       1.4
          58.5       4.6
          59.0       2.0
          62.0       1.1
          63.0       3.1
          64.0       1.2
          65.0       3.0
          89.0       7.2
          90.0       8.4
          91.0      19.4
          92.0       1.7
         115.0       1.4
         116.0       1.6
         117.0      19.7
         118.0     100.0
         119.0       9.3
         143.0       1.5
         163.0      28.7
         164.0       3.2
    

400 MHz in DMSO-d6


  • 1H NMR 399.65 MHz
    C9 H9 N O2 0.052 g : 0.5 ml DMSO-d6
    DL-2-indolinecarboxylic acid
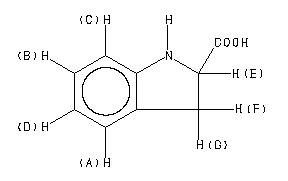
    ChemicalStructure
        Assign.     Shift(ppm)
    A 6.997 B 6.921 C 6.56 D 6.55 E 4.262 F *1 3.243 G *1 3.077

         Hz     ppm     Int.
    

       2800.62   7.008    457
       2800.25   7.007    469
       2799.52   7.005    408
       2793.47   6.990    494
       2792.92   6.989    499
       2792.37   6.988    444
       2774.79   6.944    253
       2774.24   6.942    235
       2773.51   6.940    253
       2766.91   6.924    521
       2766.18   6.922    504
       2759.59   6.906    323
       2759.04   6.904    292
       2758.30   6.902    306
       2625.69   6.570    814
       2623.86   6.566    632
       2622.76   6.563    350
       2617.82   6.551    781
       2616.53   6.548   1000
       2615.62   6.545    673
       2611.40   6.535     51
       2609.21   6.529    405
       2608.11   6.526    336
       1711.87   4.284    548
       1706.20   4.270    696
       1701.43   4.258    649
       1695.57   4.243    598
       1311.11   3.281    225
       1300.48   3.255    222
       1294.99   3.241    356
       1284.36   3.214    332
       1238.94   3.101    357
       1233.26   3.086    357
       1222.82   3.060    234
       1217.14   3.046    230
    

in DMSO-d6



KBr disc



nujol mull