图谱信息 供应商 相关产品
网站主页CAS数据库列表 1689-64-1更多图谱9-芴醇(1689-64-1)红外图谱(IR1)

9-芴醇

产品名称 9-芴醇

CAS号1689-64-1

分子式C13H10O

分子量182.22

展开


  • Mass

    MS-IW-1366          
    9-fluorenol
    C13H10O             (Mass of molecular ion:    182)
    

       Source Temperature: 150 °C
       Sample Temperature: 110 °C
       Direct, 75 eV
    

          63.0       1.2
          76.0       3.8
          77.0       1.2
          90.5       1.7
          91.0       1.4
         126.0       1.4
         127.0       1.3
         139.0       1.0
         150.0       2.6
         151.0       7.2
         152.0      24.8
         153.0      19.0
         154.0       2.8
         163.0       3.9
         164.0       3.0
         165.0      12.6
         166.0       4.0
         180.0       7.3
         181.0     100.0
         182.0      90.1
         183.0      12.1
    

400 MHz in CDCl3


  • 1H NMR 399.65 MHz
    C13 H10 O 18.0 mg : 0.5 ml CDCl3
    9-fluorenol
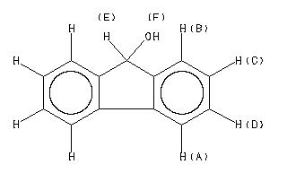
    ChemicalStructure
        Assign.     Shift(ppm)
    A 7.62 B 7.61 C 7.370 D 7.303 E 5.521 F 1.98 J(E,F)=10.0HZ.

         Hz     ppm     Int.
    

       3050.42   7.633    555
       3046.88   7.624     86
       3046.26   7.623     81
       3043.21   7.615    980
       3042.48   7.613   1000
       3035.03   7.595    569
       3034.55   7.594    554
       3033.94   7.592    525
       3033.20   7.590    290
       2954.10   7.392    223
       2953.61   7.391    229
       2952.88   7.389    247
       2946.66   7.374    526
       2946.17   7.372    538
       2945.43   7.371    550
       2939.21   7.355    350
       2938.72   7.354    346
       2937.99   7.352    335
       2925.42   7.320    516
       2924.19   7.317    527
       2921.88   7.312     63
       2917.97   7.302    728
       2916.87   7.299    679
       2910.64   7.283    287
       2909.42   7.280    273
       2211.79   5.535    284
       2201.66   5.509    290
        796.51   1.994    698
        786.50   1.968    704
    

in CDCl3



KBr disc



nujol mull