400 MHz in CDCl3
-
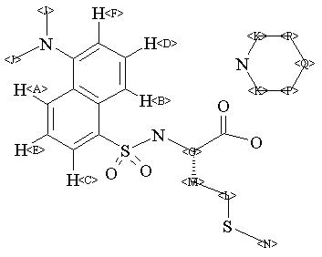
1H NMR 399.65 MHz C17 H22 N2 O4 S2 0.049 g : 0.5 ml CDCl3 N-(5-dimethylamino-1-naphthylsulfonyl)-L-methione piperidinium salt 
Assign. Shift(ppm)
A 8.498 B 8.376 C 8.239 D 7.536 E 7.483 F 7.150 G 3.69 J 2.857 K 2.78 L 2.25 M 1.85 N 1.769 P 1.59 Q 1.53
Hz ppm Int.3400.49 8.509 54 3392.06 8.488 54 3352.13 8.388 58 3343.34 8.366 60 3297.18 8.251 59 3295.90 8.247 59 3289.85 8.232 63 3288.57 8.229 57 3019.87 7.557 49 3012.36 7.538 61 3011.26 7.535 55 3003.75 7.516 51 2998.44 7.503 57 2991.11 7.485 59 2990.01 7.482 61 2982.68 7.464 50 1482.18 3.709 30 1477.42 3.697 37 1476.14 3.694 39 1142.04 2.858 1000 707.02 1.770 593 637.05 1.595 80 611.04 1.529 44


