图谱信息 供应商 相关产品
网站主页CAS数据库列表 17110-51-9更多图谱胆固醇油醇碳酸酯(17110-51-9)红外图谱(IR1)

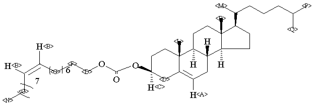
胆固醇油醇碳酸酯

产品名称 胆固醇油醇碳酸酯

CAS号17110-51-9

分子式C46H80O3

分子量681.13

展开



  •     Assign.     Shift(ppm)
    A 5.39 B 5.34 C 4.470 D 4.107 E 2.41 F 2.01 G 1.27 L 1.009 M 0.914 N 0.88 P *1 0.866 Q *1 0.862 R 0.677
    Spectral Code: 1H NMR : 400 MHz in CDCl3