图谱信息 供应商 相关产品
网站主页CAS数据库列表 1719-88-6更多图谱3,4,5-三甲氧基苯甲酸酐(1719-88-6)红外图谱(IR1)

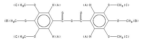
3,4,5-三甲氧基苯甲酸酐

产品名称 3,4,5-三甲氧基苯甲酸酐

CAS号1719-88-6

分子式C20H22O9

分子量406.38

展开


  • Mass

    MS-NW-6995          
    3,4,5-trimethoxybenzoic anhydride
    C20H22O9            (Mass of molecular ion:    406)
    

       Source Temperature: 220 °C
       Sample Temperature: 170 °C
       Direct, 75 eV
    

          53.0       1.8
          66.0       3.0
          77.0       3.4
          79.0       1.0
          81.0       3.7
          92.0       1.3
          96.0       1.1
         107.0       1.2
         109.0       2.6
         122.0       2.5
         124.0       1.5
         137.0       3.2
         139.0       1.4
         152.0       4.4
         167.0       2.3
         195.0     100.0
         196.0      11.1
         197.0       2.2
         212.0       1.6
         362.0       2.6
         406.0      27.2
         407.0       6.0
         408.0       1.1
    

parameter in CDCl3


  • 1H NMR 300 MHz
    C20 H22 O9 0.035 g : 0.5 ml CDCl3
    3,4,5-trimethoxybenzoic anhydride
    ChemicalStructure
        Parameter     ppm  Hz
    D(A) 7.387 D(B) 3.963 D(C) 3.931

         Hz     ppm     Int.
    

       2216.11   7.387    333
       1188.91   3.963    501
       1179.32   3.931   1000
    

in CDCl3



KBr disc



nujol mull