-
MS-IW-7570 (p-hydroxyphenyl)acetamide C8H9NO2 (Mass of molecular ion: 151)
Source Temperature: 170 °C Sample Temperature: 150 °C Direct, 75 eV
18.0 1.6 27.0 1.2 39.0 2.0 44.0 2.8 50.0 1.2 51.0 3.0 52.0 1.6 53.0 2.1 55.0 1.0 77.0 11.0 78.0 3.3 79.0 3.0 90.0 3.4 105.0 1.5 106.0 2.2 107.0 100.0 108.0 17.4 109.0 1.3 132.0 1.7 133.0 3.5 151.0 30.4 152.0 3.2
400 MHz in DMSO-d6
-
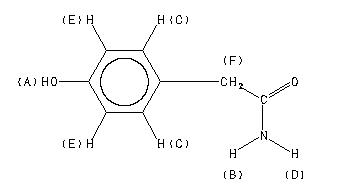
1H NMR 399.65 MHz C8 H9 N O2 0.041 g : 0.5 ml DMSO-d6 (p-hydroxyphenyl)acetamide 
Assign. Shift(ppm)
A 9.219 B *1 7.36 C 7.050 D *1 6.82 E 6.686 F 3.240
Hz ppm Int.3684.54 9.220 1000 2941.44 7.361 93 2824.86 7.069 61 2822.11 7.062 450 2819.98 7.057 170 2815.55 7.046 167 2813.42 7.040 503 2810.67 7.033 65 2727.20 6.824 95 2679.14 6.704 79 2676.24 6.697 611 2674.10 6.692 199 2669.68 6.681 177 2667.69 6.676 561 2664.79 6.668 62 1294.86 3.240 839
更多供应商






